最新更新 :
18/03/2026
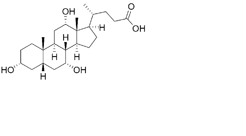
其它   Cholic acid  
胶囊
制剂的稳定性 混合物稳定性 影响稳定性的因素 兼容性 引用文献 PDF
   化学式  

胶囊
制剂的稳定性   胶囊   制剂的稳定性 : Cholic acid     
容器 Origine 添加剂 温度 保存 穩定持續時間 引用文献
塑料瓶 粉剂 25 mg
® = ?
硅胶 >>
乳糖 >>
23-27°C 避光
365 白天
4751

塑料瓶 粉剂 250 mg
® = ?
硅胶 >>
23-27°C 避光
365 白天
4751

塑料瓶 粉剂 25 mg
® = ?
硅胶 >>
乳糖 >>
38-42°C 避光
365 白天
4751

塑料瓶 粉剂 250 mg
® = ?
硅胶 >>
38-42°C 避光
365 白天
4751


  Mentions Légales