fermer
Cập nhật lần cuối :
17/12/2025
Infostab
Danh sách các chất
Danh sách tóm tắt
Tìm kiếm khả năng tương thích
Bảng tương thích Y-site
Tài liệu tham khảo
đội nghiên cứu
valistab
Poster
kết nối
nhà tài trợ
Các tác giả
Hướng dẫn dành cho người dùng
Bản tin cập nhật
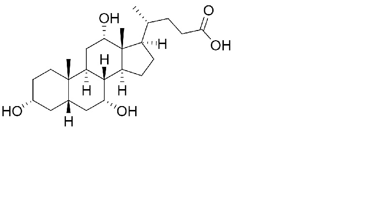
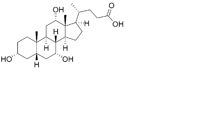
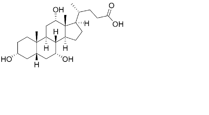
Cholic acid
Cấu trúc hóa học
Độ ổn định khi trộn lẫn : Cholic acid
Không có dữ liệu
Mentions Légales