Ultimele actualizari :
18/03/2026
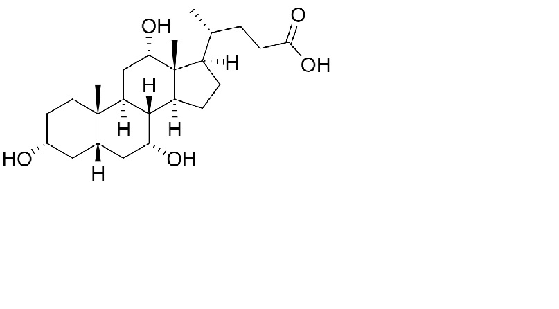
Diverse   Cholic acid  
Capsulă
Stabilitatea preparatelor farmaceutice Stabilitatea in amestec Factorii care influenteaza stabilitatea Compatibilitate Bibliografie pdf
   Formula chimica  

Capsulă
Stabilitatea in amestec   Capsulă   Stabilitatea in amestec : Cholic acid     
Absenta de date

  Mentions Légales