fermer
آخر تحديث :
17/12/2025
Infostab
قائمة المركبات
ملخص القوائم
ابحث عن التوافق
جدول توافق موقع ص
مراجع
فرق البحث
valistab
الملصق
الروابط
الرعاة
الكتاب
دليل المستخدم
النشرة الإخبارية
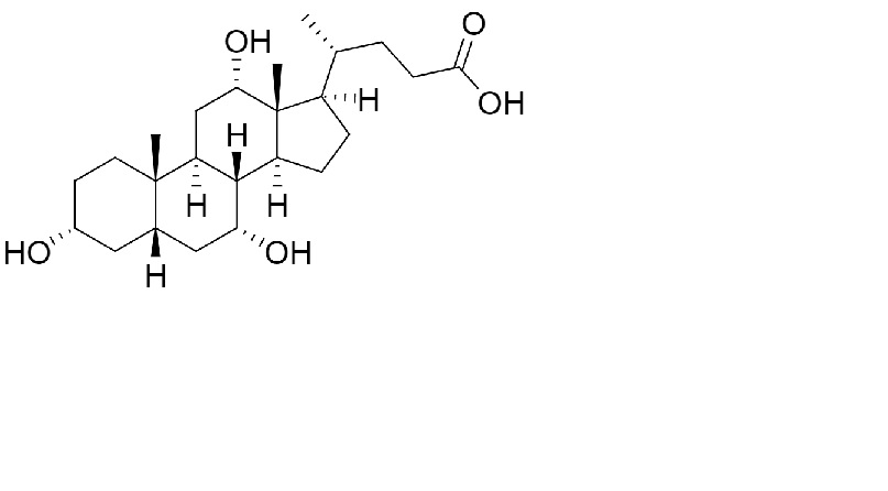
Cholic acid
التركيب الكيميائي
استقرار مخاليط : Cholic acid
لا توجد بيانات
Mentions Légales