fermer
Laatste update :
17/12/2025
Infostab
Stoffenlijst
Zoeken via pictogrammen
zoeken naar verenigbaarheden
Y-site verenigbaarheden tabel
Literatuur
onderzoeksgroepen
valistab
Poster
Verbindingen
sponsors
Auteur
Gebruiksaanwijzing
Nieuwsbrief
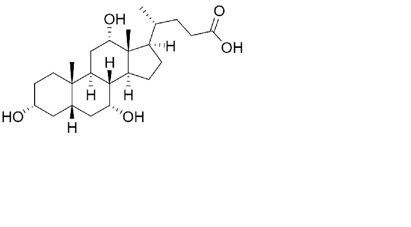
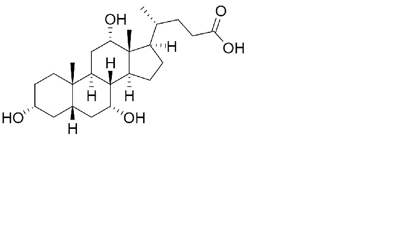
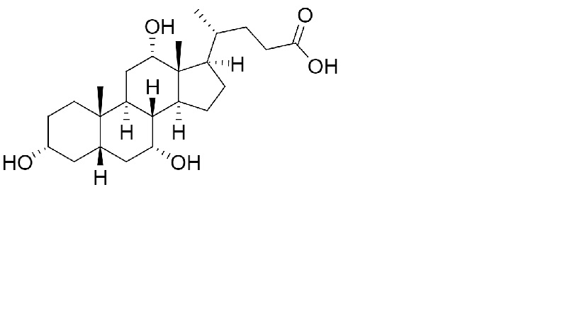
Cholic acid
Molecuulstructuur
Stabiliteit in mengsels : Cholic acid
geen gegevens
Mentions Légales