Ostatnia aktualizacja :
18/03/2026
Różne   Cholic acid  
Kapsułka
Stabilność preparatów farmaceutycznych Trwałość w mieszaninie Czynnik wpływający na trwałość Zgodność Bibliografia pdf
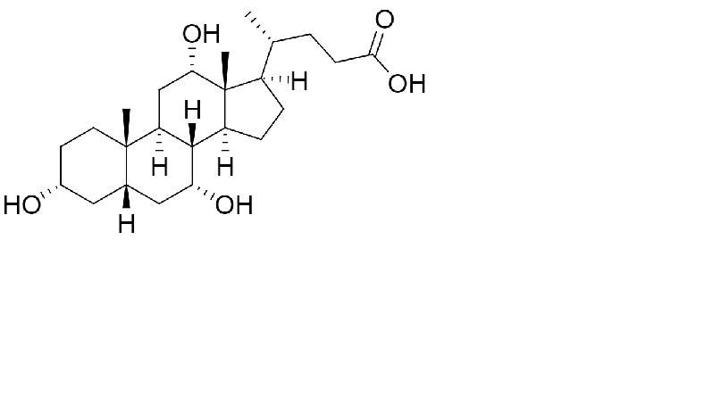
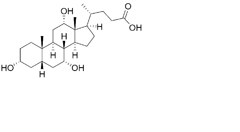
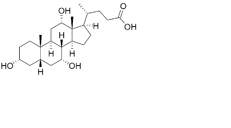
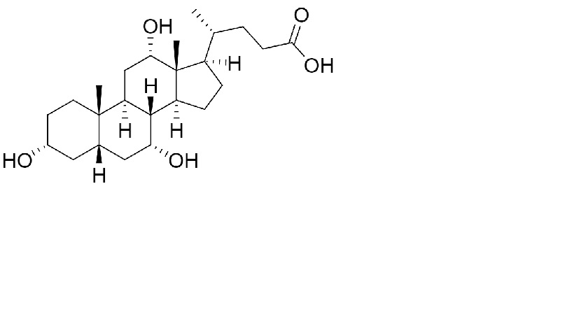
   Struktura chemiczna  

Kapsułka
Trwałość w mieszaninie   Kapsułka   Trwałość w mieszaninie : Cholic acid     
Brak danych

  Mentions Légales