fermer
Последно актуализиране :
17/12/2025
Infostab
Списък с лекарства
Съдържание
Потърсете съвместимост
Таблица за съвместимост на Y-сайта
Библиография
Изследователски екипи
valistab
Плакат
звена
спонсори
Автори
Ръководство за потребителя
Бюлетин
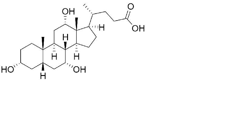
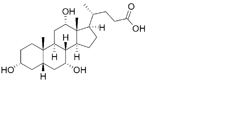
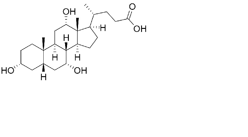
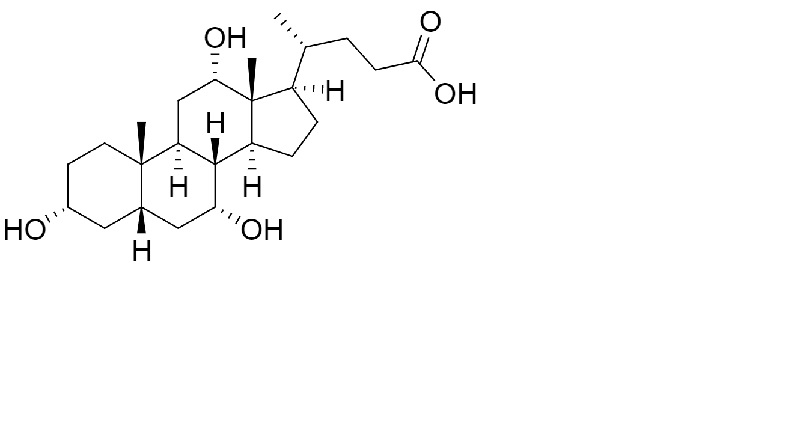
Cholic acid
Химична структура
Стабилност на смеси : Cholic acid
Няма данни
Mentions Légales