Letztes “update” :
18/03/2026
Verschiedenes   Cholic acid  
Kapsel (Singular !)
Stabilität von pharmazeutischen Präparaten Gemengestabilität Stabilitätbeeinflussende Faktoren Kompatibilitäten Literaturverzeichnis pdf
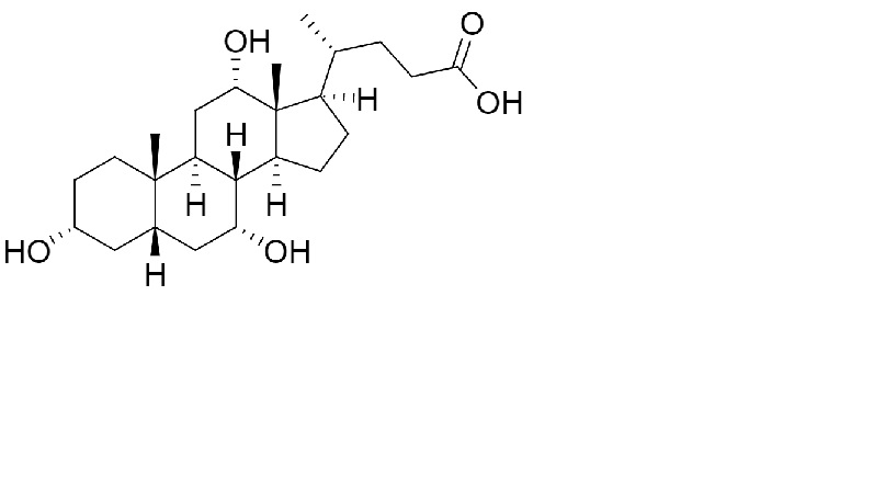
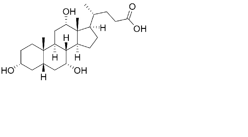
   Chemische Struktur  

Kapsel (Singular !)
Gemengestabilität   Kapsel (Singular !)   Gemengestabilität : Cholic acid     
Keine Daten

  Mentions Légales