Siste oppdatering :
18/03/2026
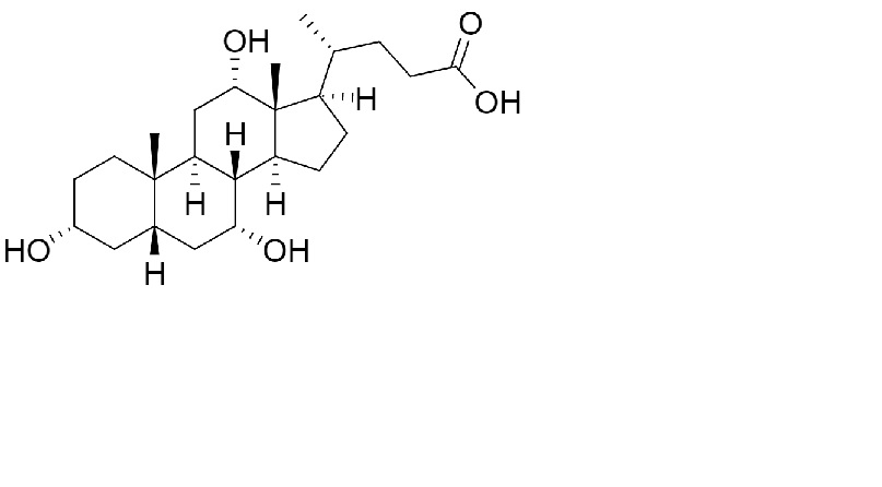
Forskjellig   Cholic acid  
Kapsel
Stabilitet av farmasøytiske preparater Stabilitet i blandinger Faktorer som påvirker stabiliteten Kompatibilitet Referanser pdf
   Kjemisk struktur  

Kapsel
Stabilitet i blandinger   Kapsel   Stabilitet i blandinger : Cholic acid     
Ingen opplysninger

  Mentions Légales