fermer
最新更新 :
17/12/2025
Infostab
药品清单
简要表
搜索兼容性
Y 站点兼容性表
引用文献
研究小組
valistab
海报
鏈接
贊助商
作者
使用指南
时讯
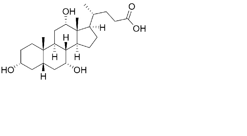
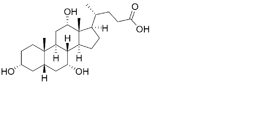
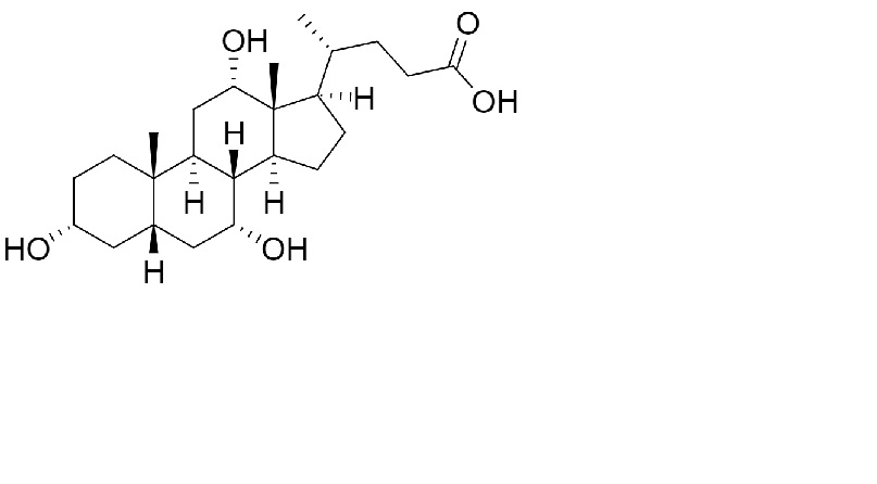
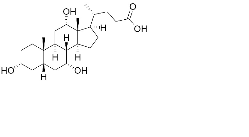
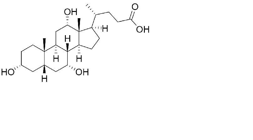
Cholic acid
化学式
混合物稳定性 : Cholic acid
无数据
Mentions Légales