Останнє оновлення :
18/03/2026
різноманітні   Cholic acid  
капсула
Стабільність фармацевтичних препаратів Стійкість сумішей Фактори, що впливають на стабільність Сумісність Список літератури pdf
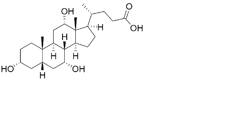
   Хімічна структура  

капсула
Стійкість сумішей   капсула   Стійкість сумішей : Cholic acid     
7 / 5 000 Résultats de traduction Немає даних

  Mentions Légales