Utolsó frissítés :
18/03/2026
Különféle   Cholic acid  
kapszula
Stabilitása gyógyszerészeti készítmények A keverékek stabilitása Stabilitást befolyásoló tényezők Kompatibilitás Irodalom pdf
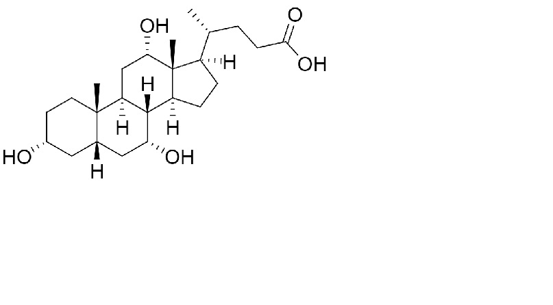
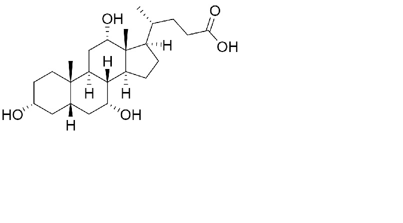
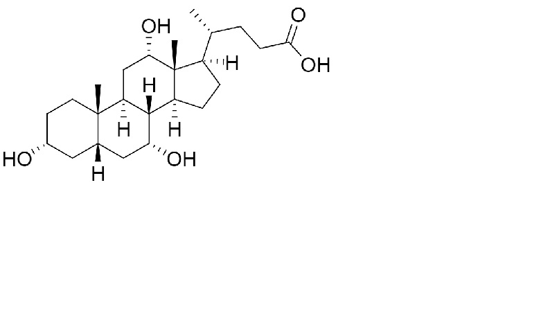
   Kémiai szerkezet   

kapszula
A keverékek stabilitása   kapszula   A keverékek stabilitása : Cholic acid     
Hiányzó adat

  Mentions Légales