Last update :
18/03/2026
Various   Cholic acid  
Capsule
Stability of pharmaceutical preparations Stability of mixtures Factors which affect stability Compatibility References pdf
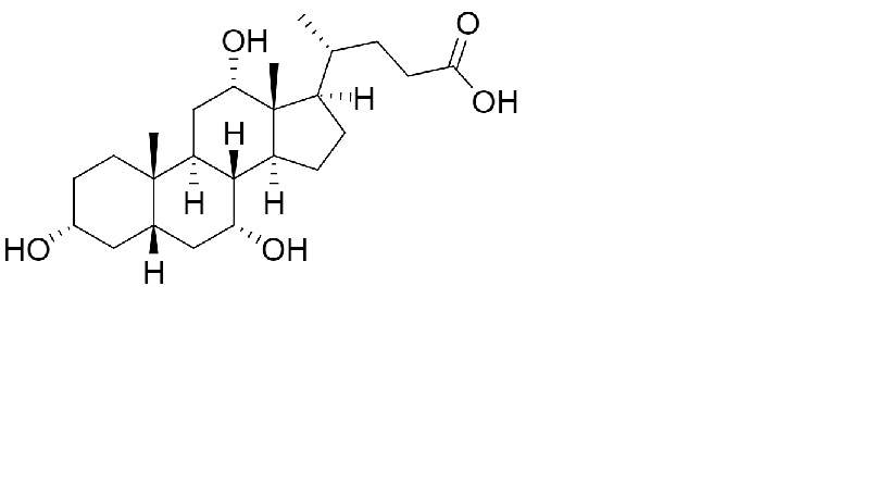
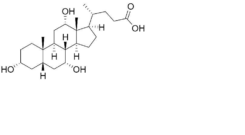
   Chemical structure  

Capsule
Stability of mixtures   Capsule   Stability of mixtures : Cholic acid     
No data

  Mentions Légales