zadnja posodobitev :
18/03/2026
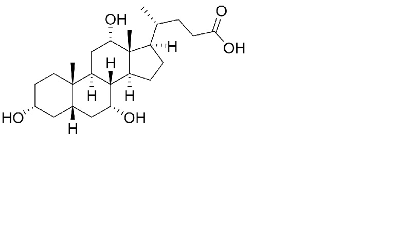
Različen   Cholic acid  
Kapsula
Stabilnost farmacevtskih preparatov Stabilnost mešanice Faktorji, ki vplivajo na stabilnost Kompatibilnost Viri pdf
   Kemična formula  

Kapsula
Stabilnost mešanice   Kapsula   Stabilnost mešanice : Cholic acid     
ni podatka

  Mentions Légales