Utolsó frissítés :
18/03/2026
Vírusellenes szer   Ganciclovir  
Szemcsepp
Stabilitása gyógyszerészeti készítmények A keverékek stabilitása Stabilitást befolyásoló tényezők Kompatibilitás Irodalom pdf
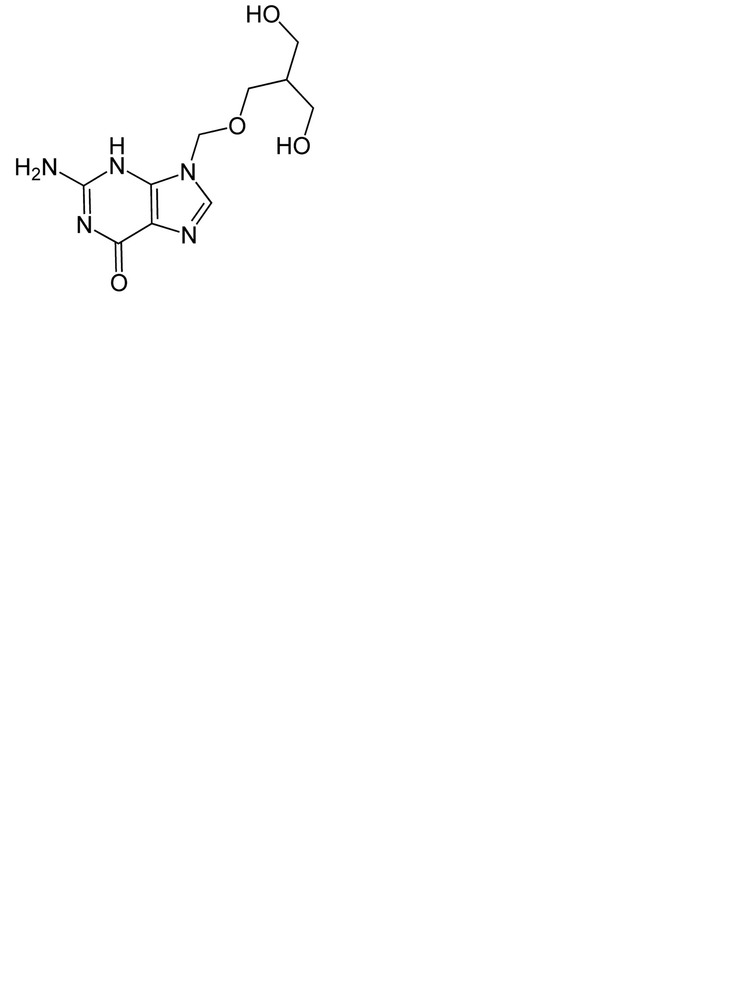
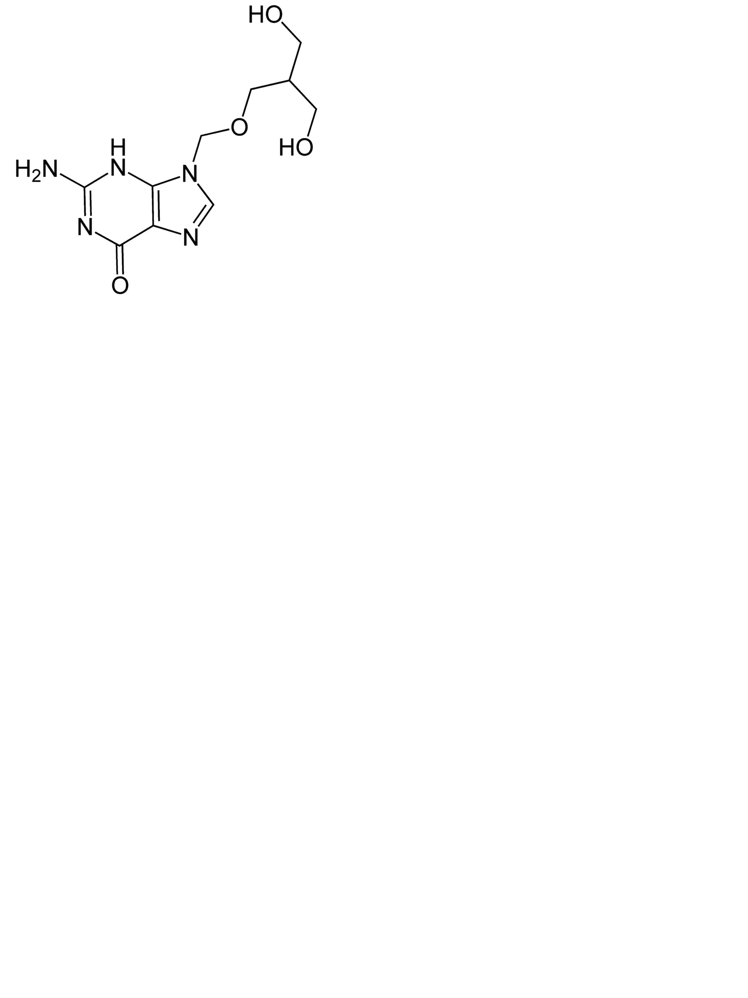
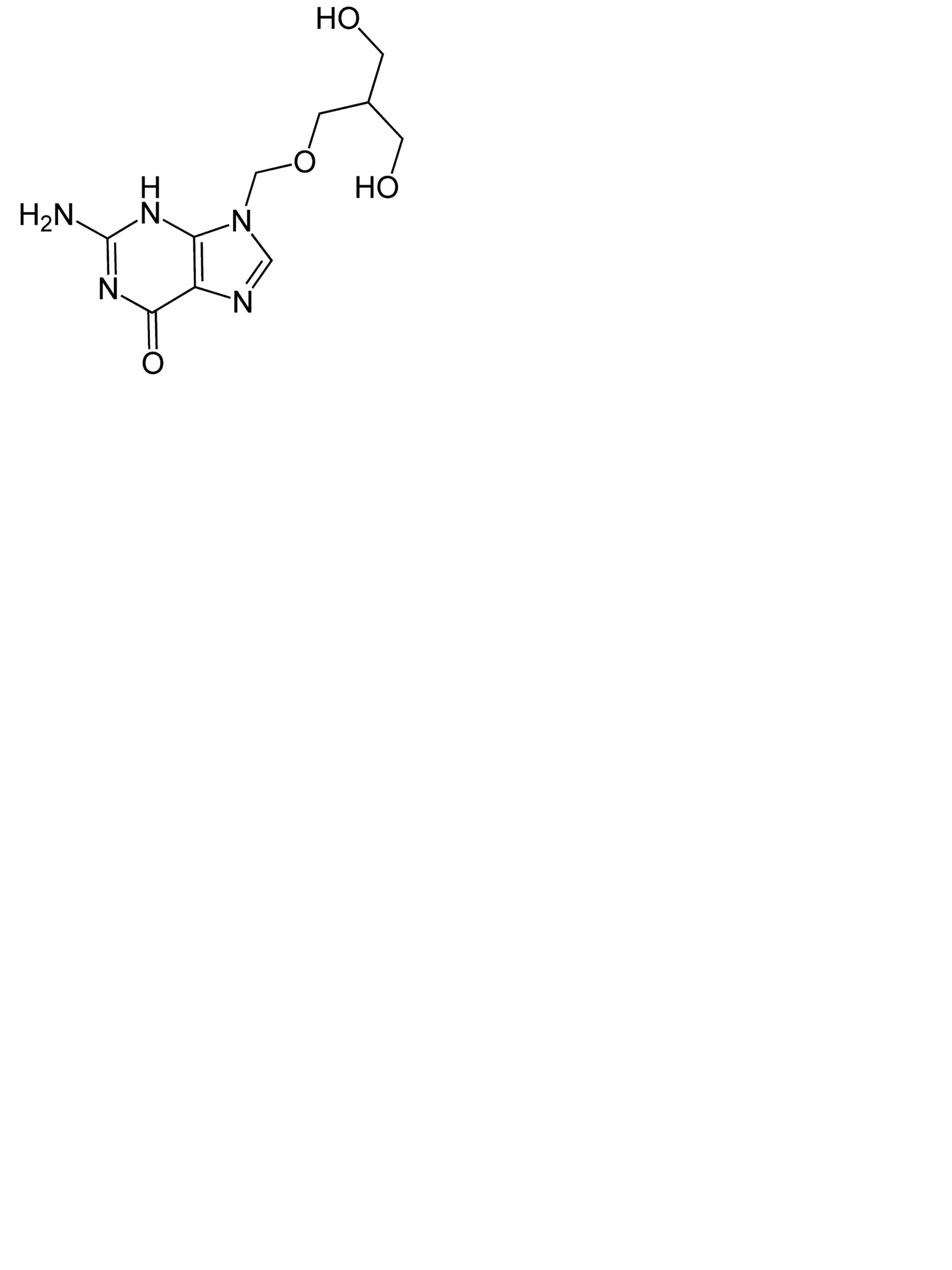
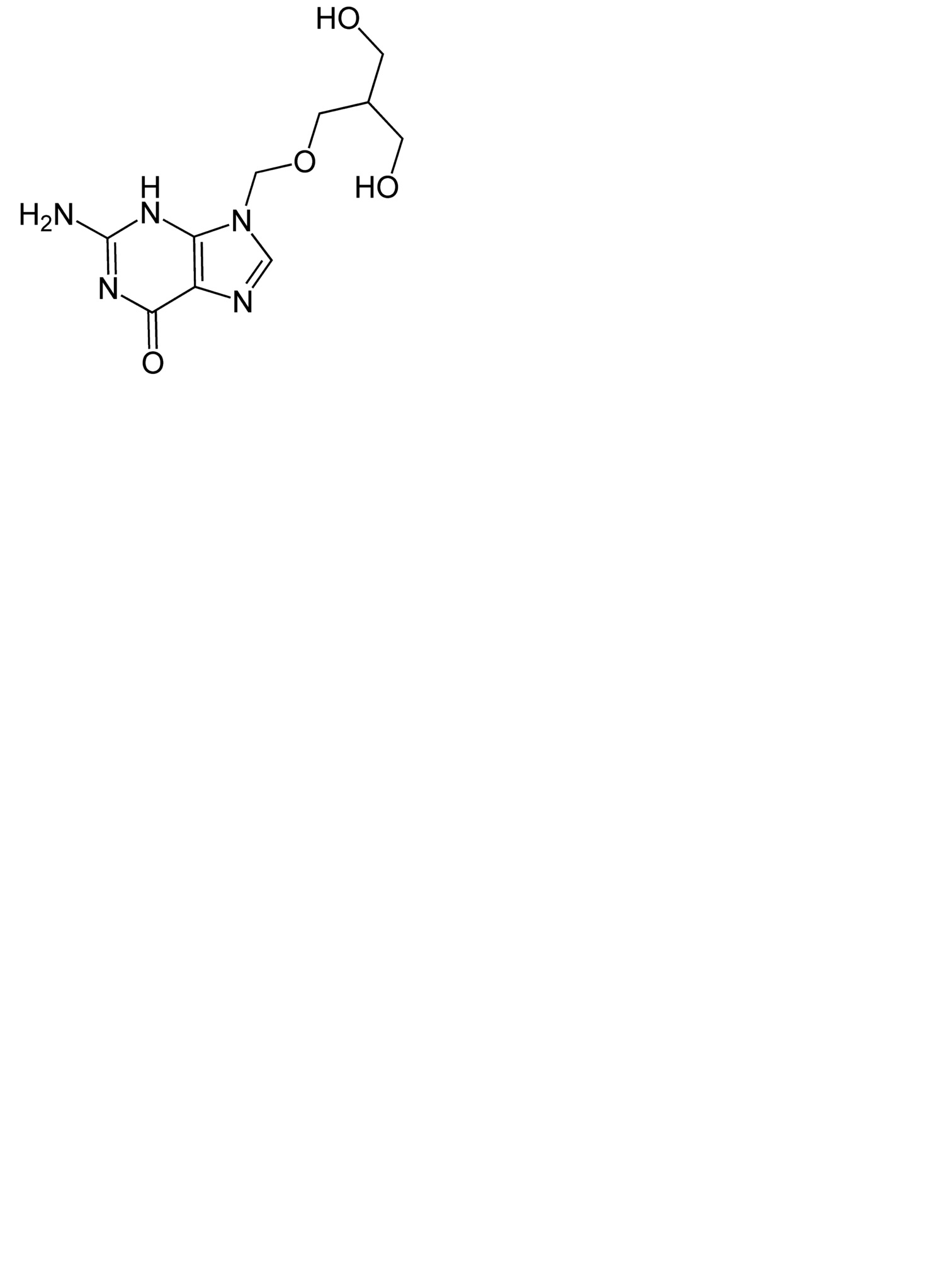
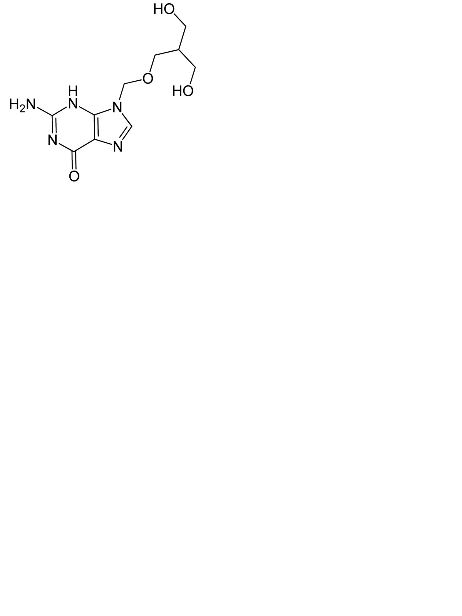
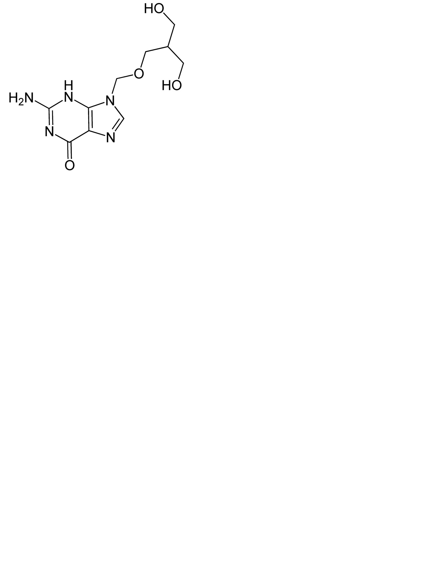
   Kémiai szerkezet   

Szemcsepp
Kompatibilitás   Szemcsepp   Kompatibilitás : Ganciclovir              
Hiányzó adat

  Mentions Légales