Останнє оновлення :
18/03/2026
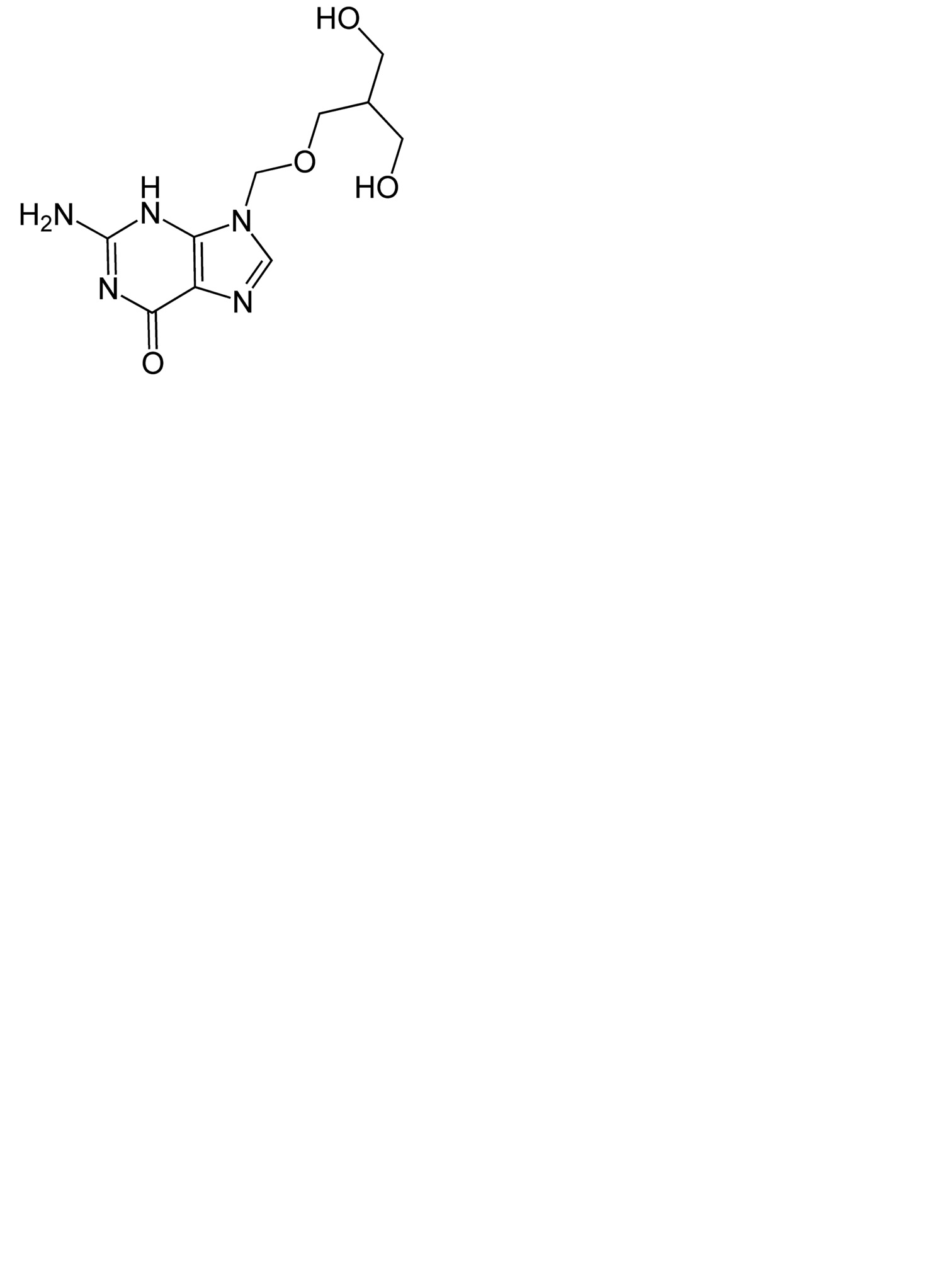
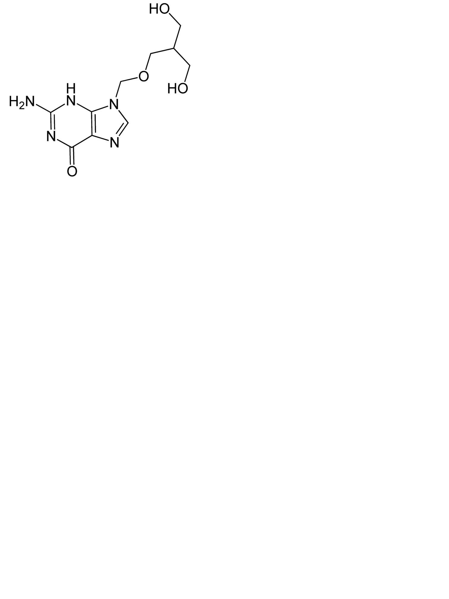
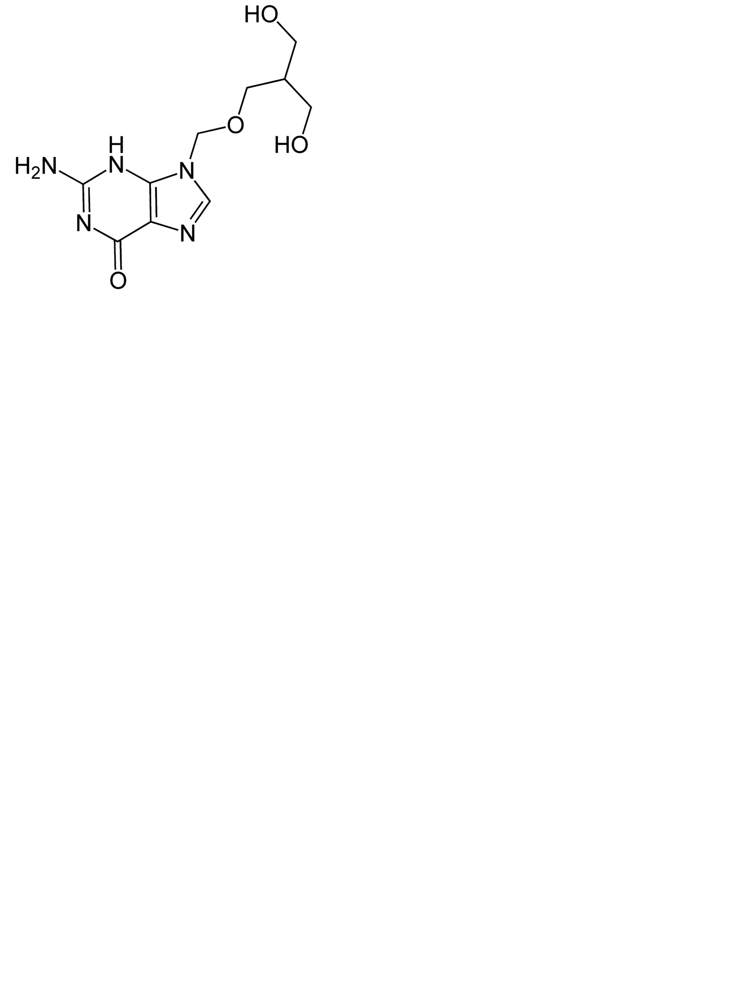
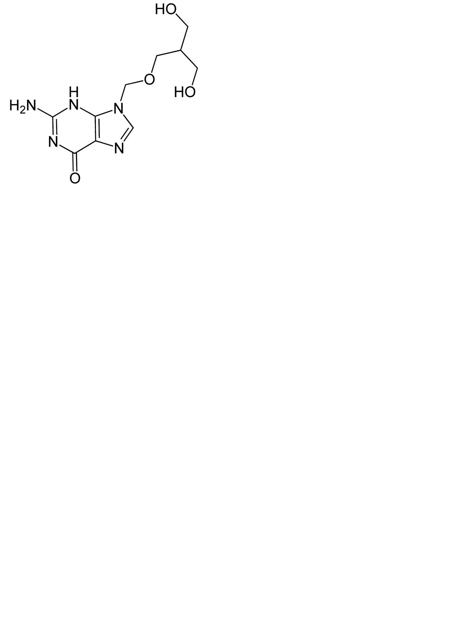
Противірусні ліки   Ganciclovir  
Очні краплі
Стабільність фармацевтичних препаратів Стійкість сумішей Фактори, що впливають на стабільність Сумісність Список літератури pdf
   Хімічна структура  

Очні краплі
Сумісність   Очні краплі   Сумісність : Ganciclovir              
7 / 5 000 Résultats de traduction Немає даних

  Mentions Légales