Siste oppdatering :
27/11/2025
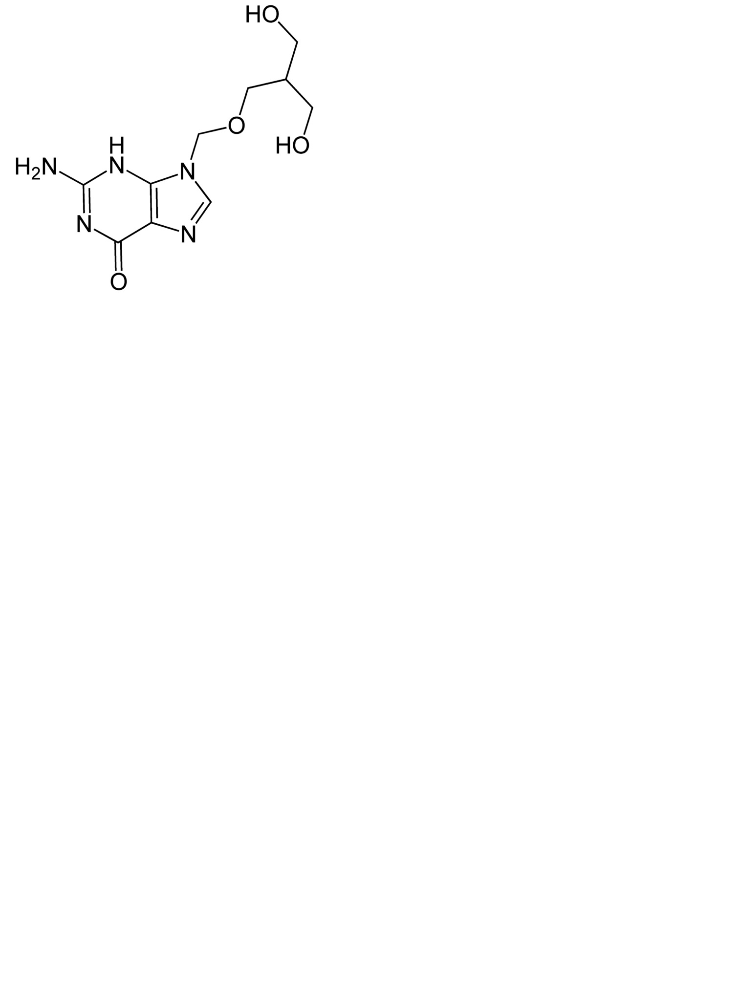
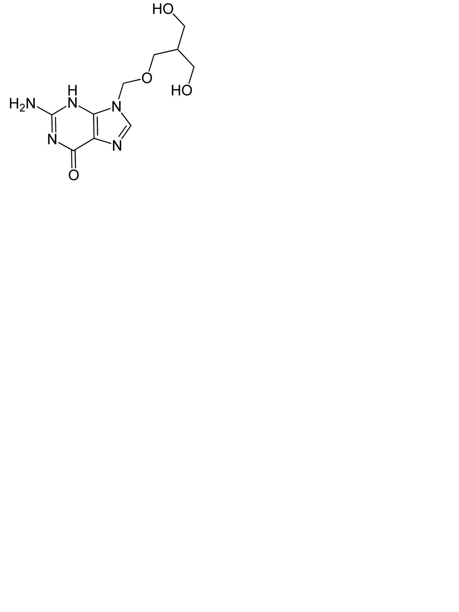
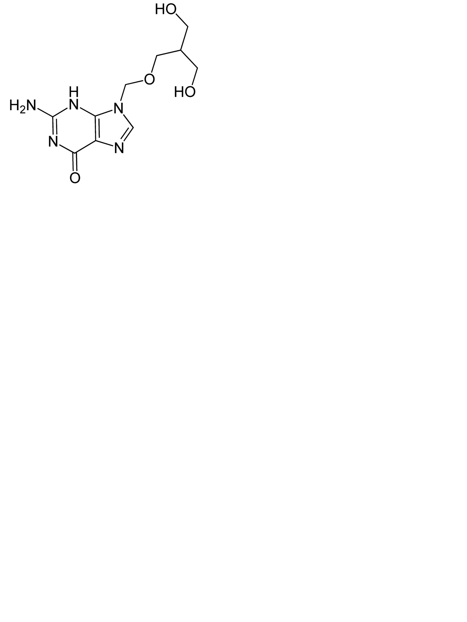
Antiviralt middel   Ganciclovir  
Øyedråper
Stabilitet av farmasøytiske preparater Stabilitet i blandinger Faktorer som påvirker stabiliteten Kompatibilitet Referanser pdf
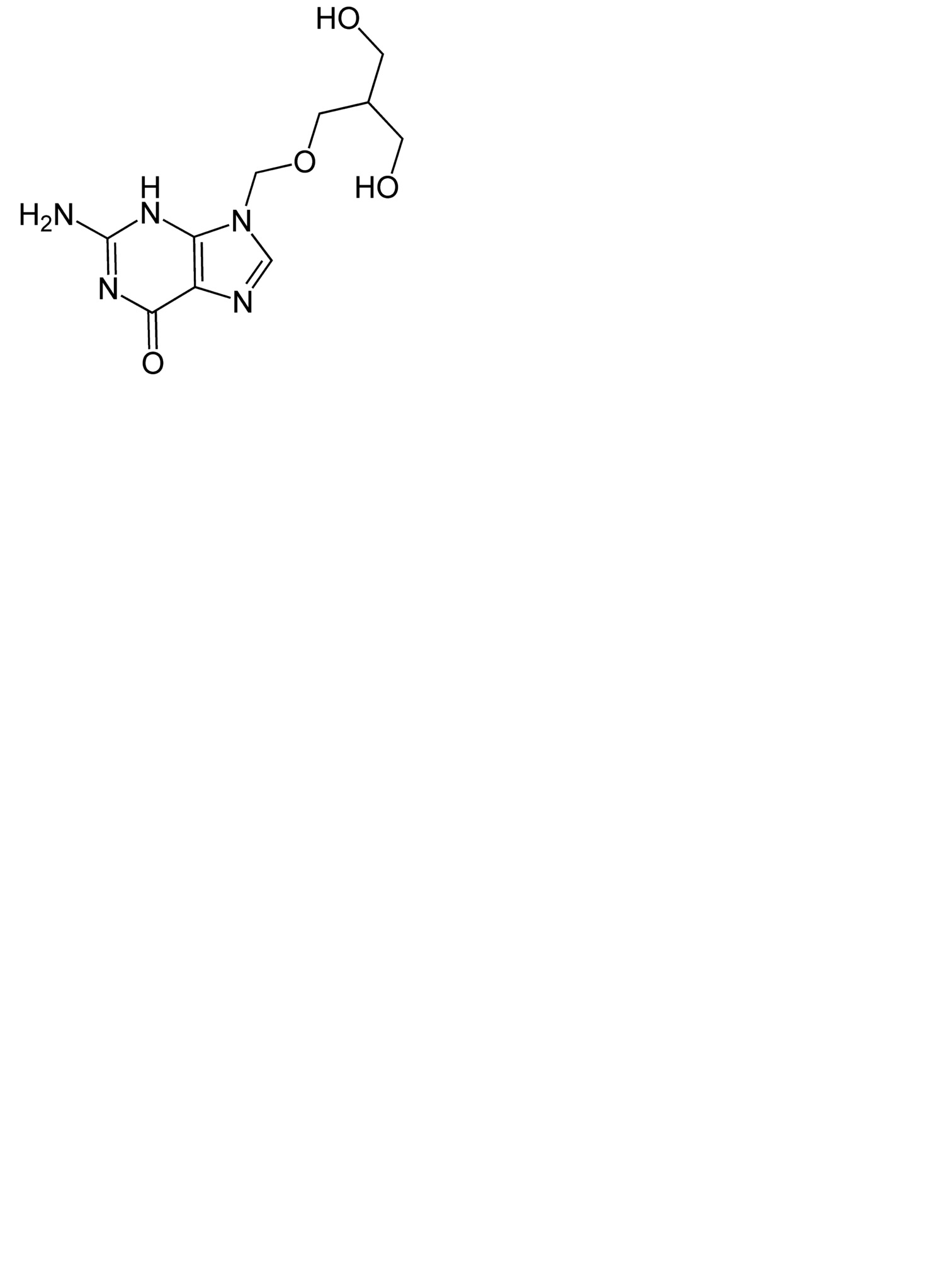
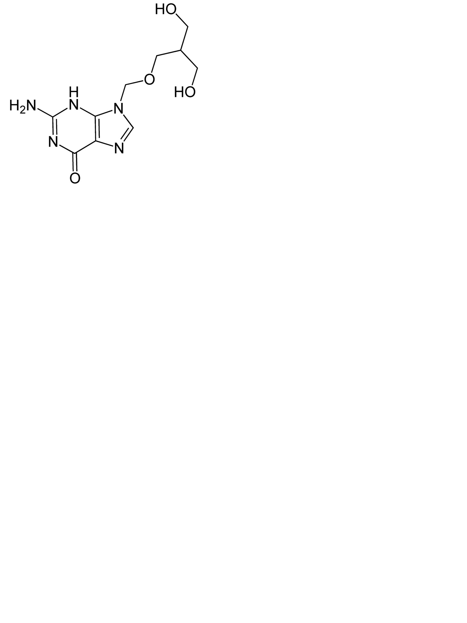
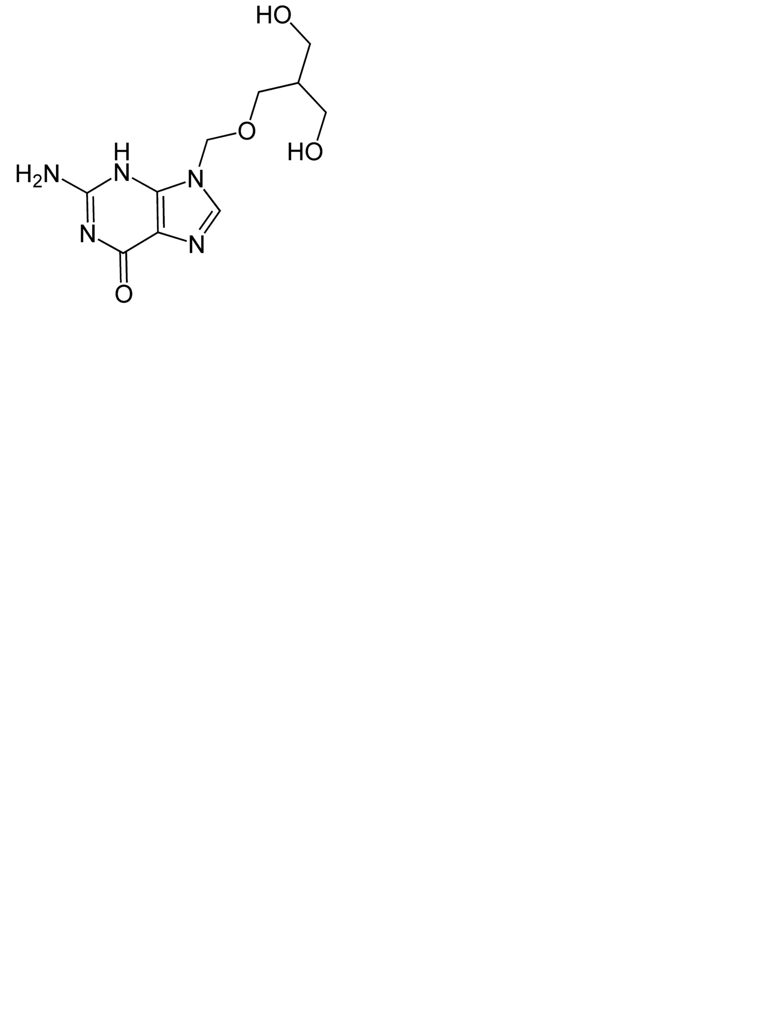
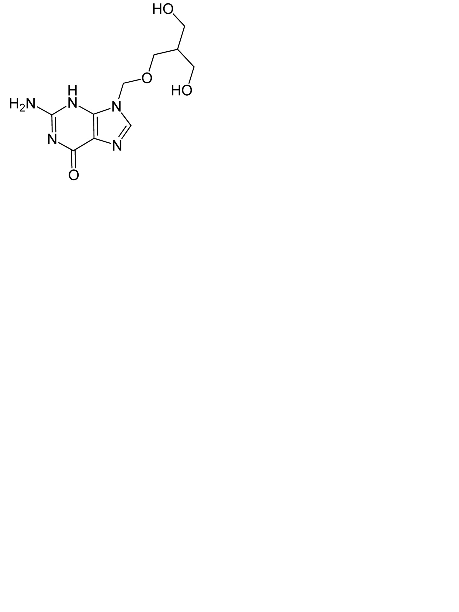
   Kjemisk struktur  

Øyedråper
Kompatibilitet   Øyedråper   Kompatibilitet : Ganciclovir              
Ingen opplysninger

  Mentions Légales