Última actualización :
18/03/2026
Antiviral   Ganciclovir  
Gotas oculares
La estabilidad de las preparaciones farmacéuticas Estabilidad en mezcla Factores que influyen sobre la estabilidad Compatibilidades Bibliografía pdf
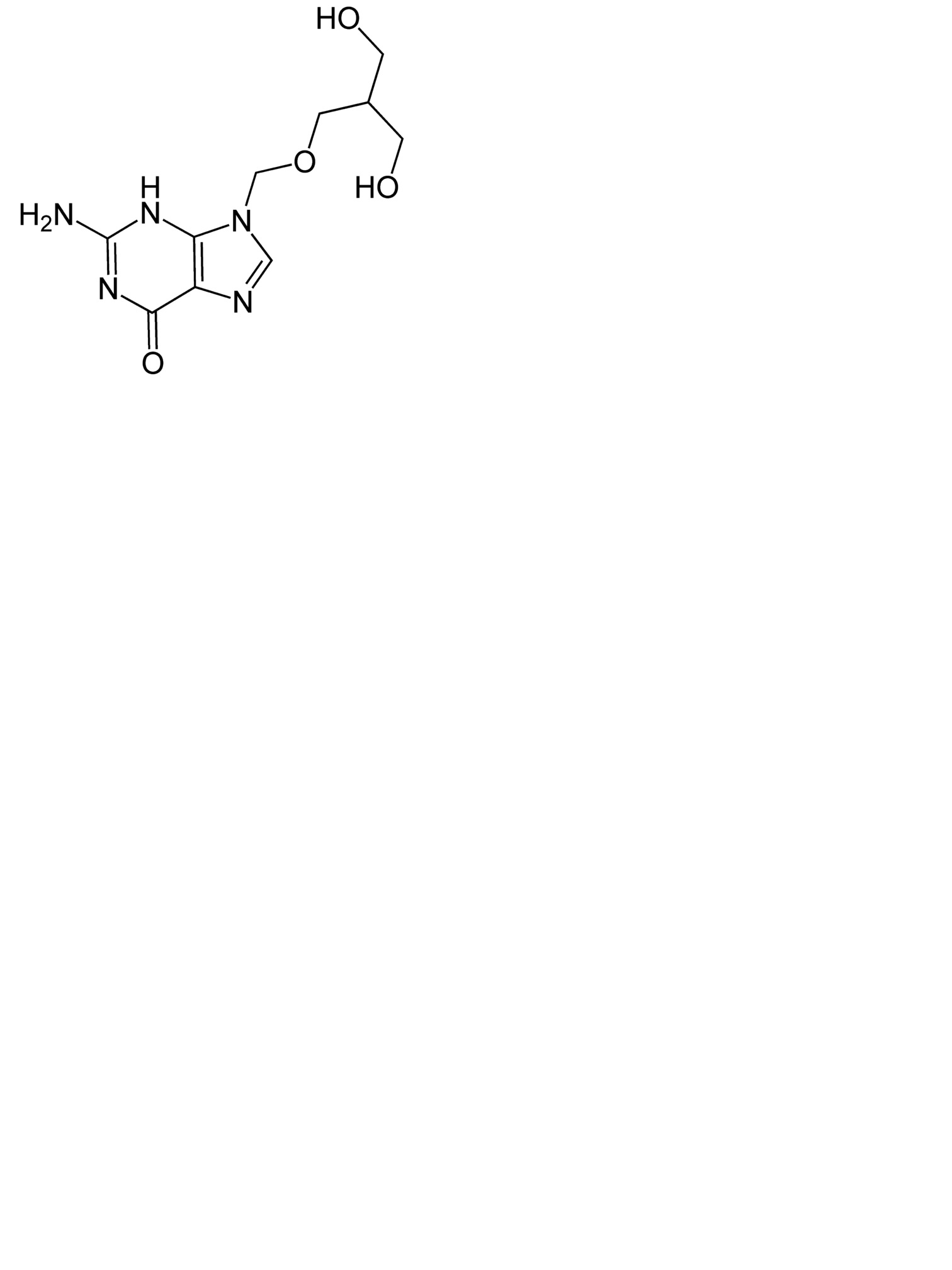
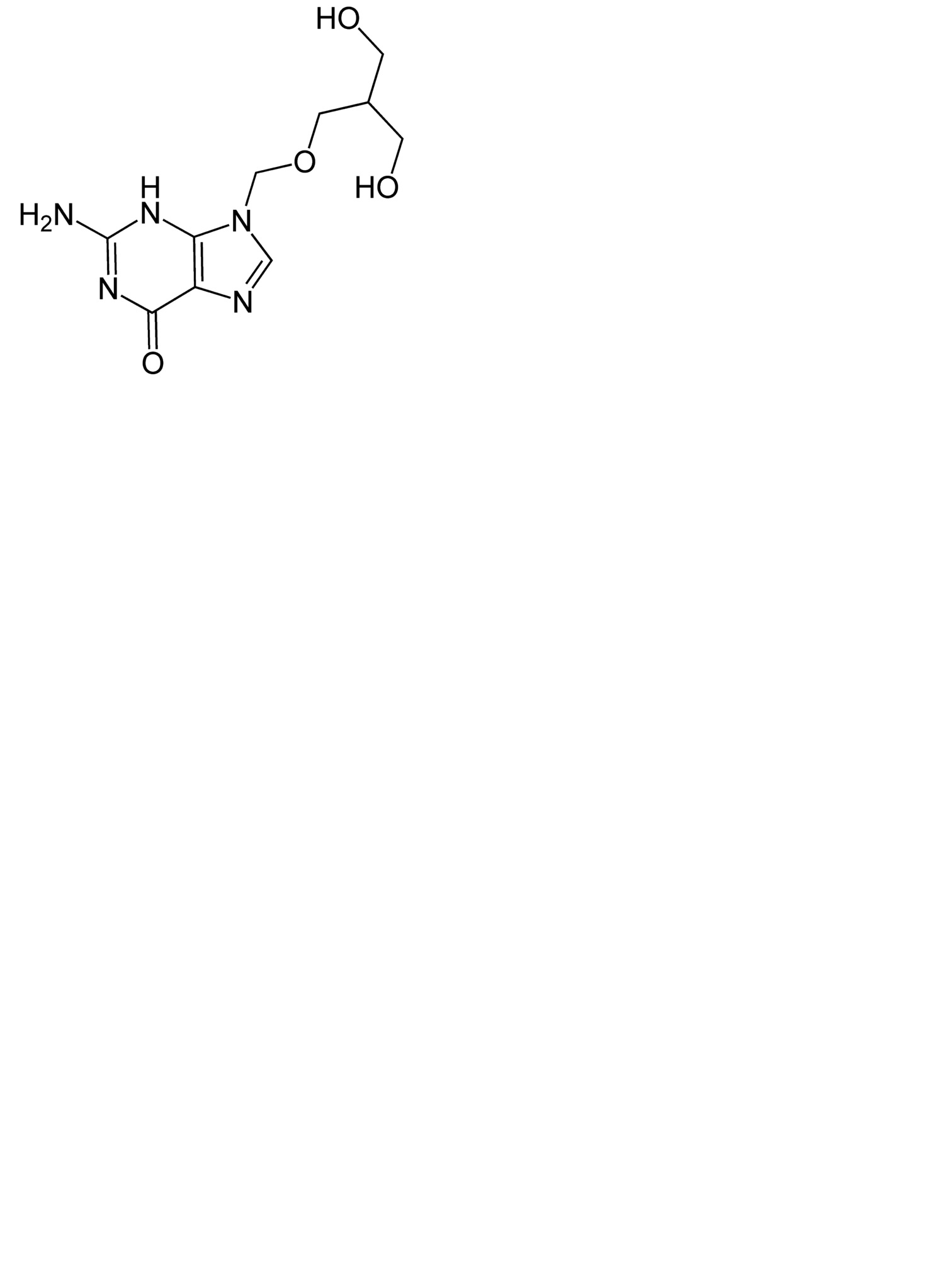
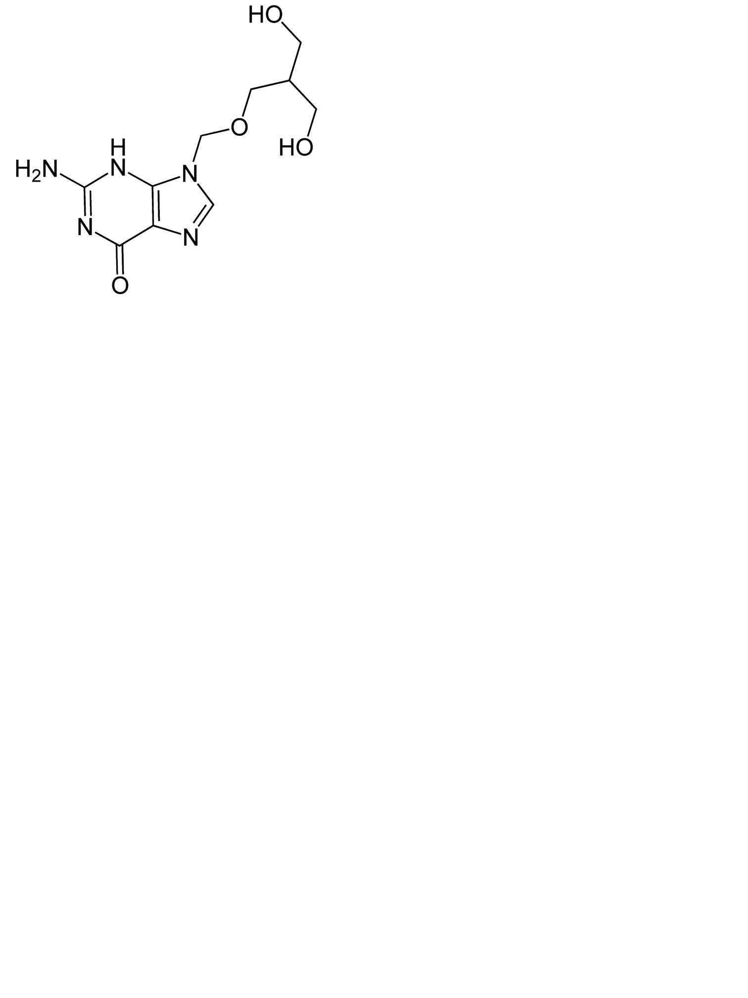
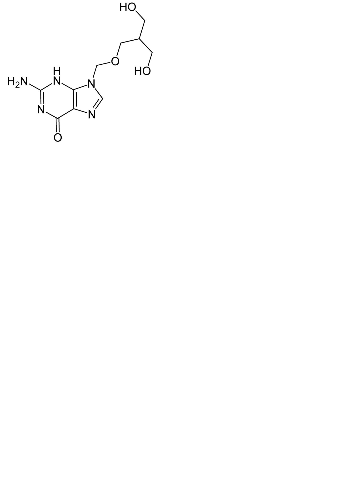
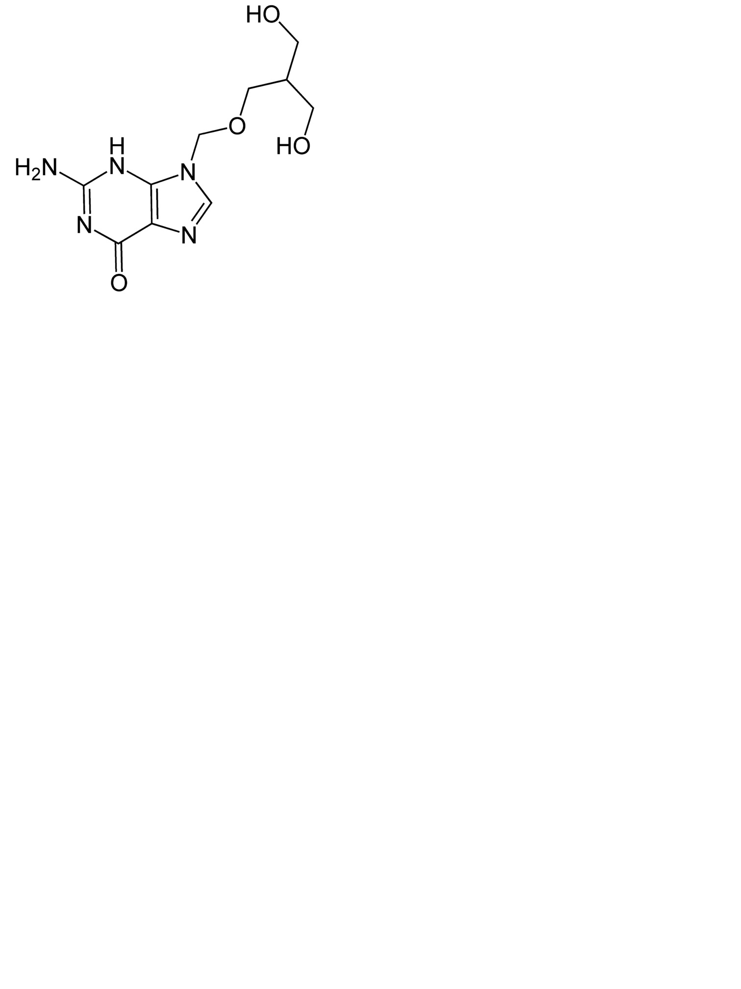
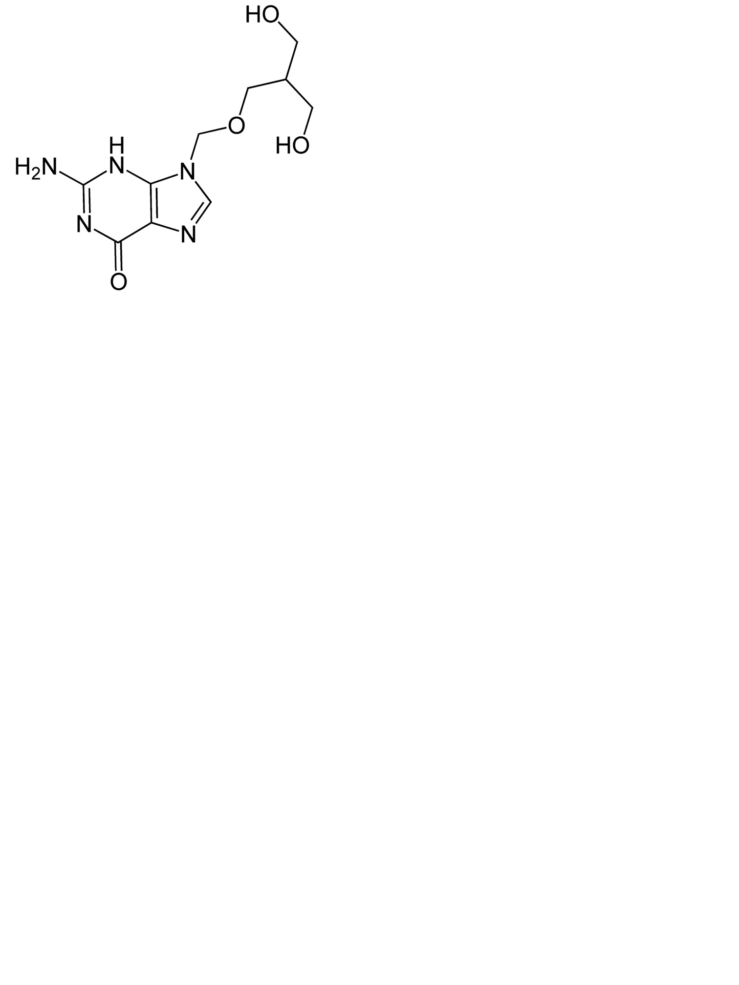
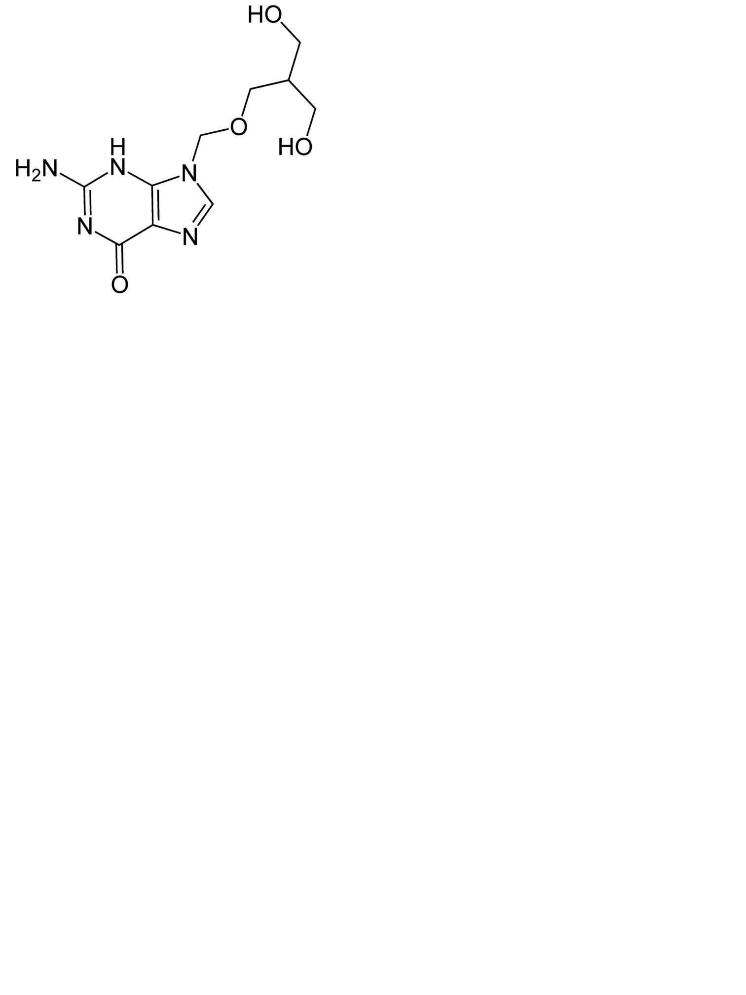
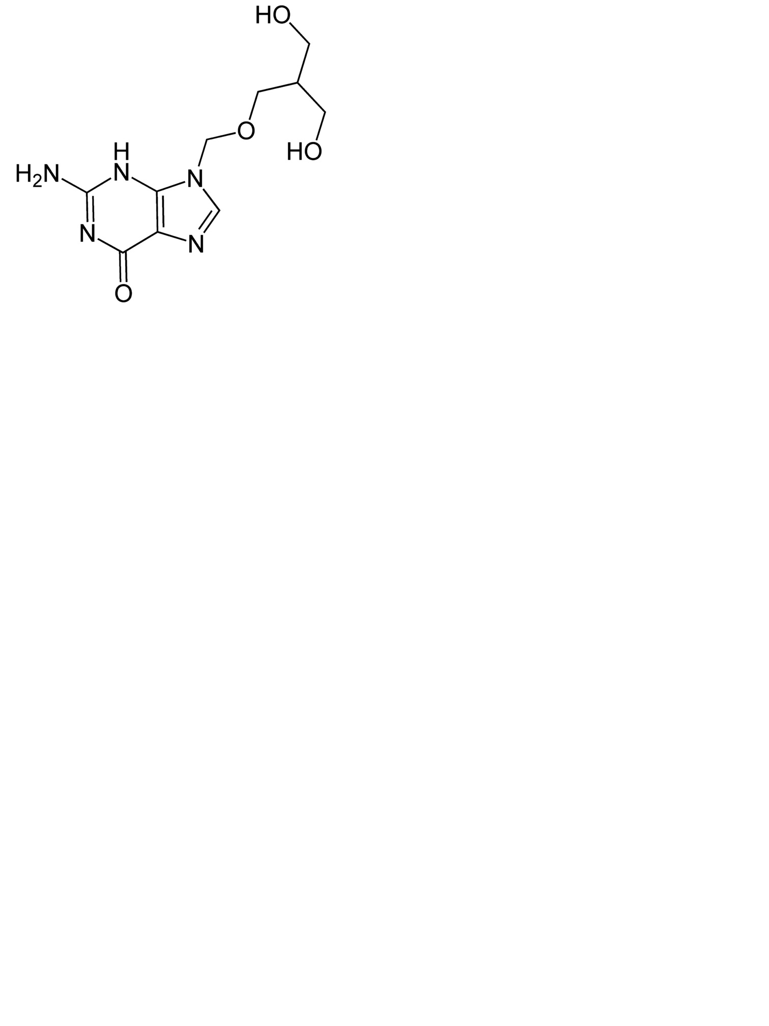
   Estructura química  

Gotas oculares
Compatibilidades   Gotas oculares   Compatibilidades : Ganciclovir              
Ausencia de datos

  Mentions Légales