Ultimele actualizari :
18/03/2026
Antiviral   Ganciclovir  
colir
Stabilitatea preparatelor farmaceutice Stabilitatea in amestec Factorii care influenteaza stabilitatea Compatibilitate Bibliografie pdf
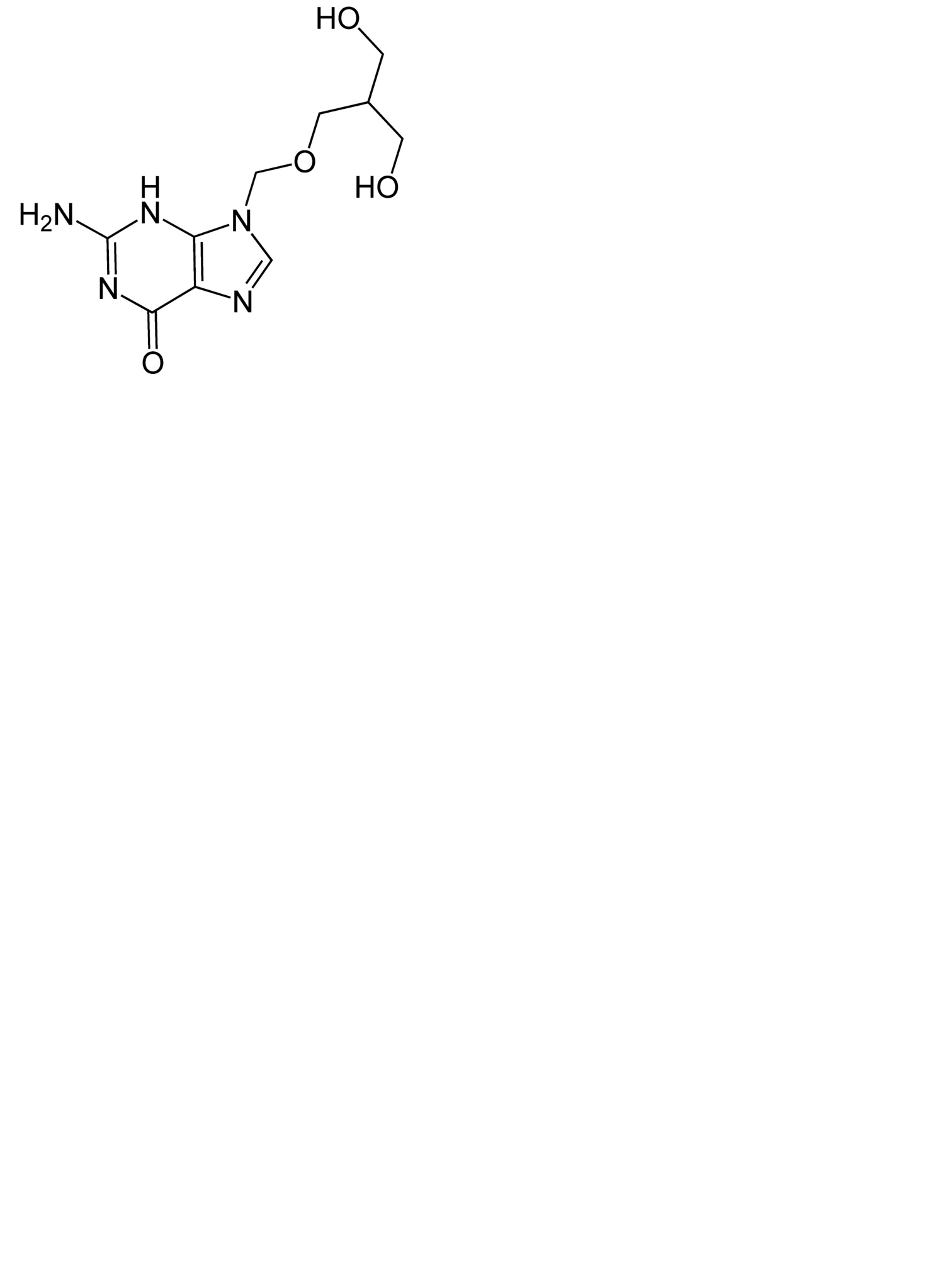
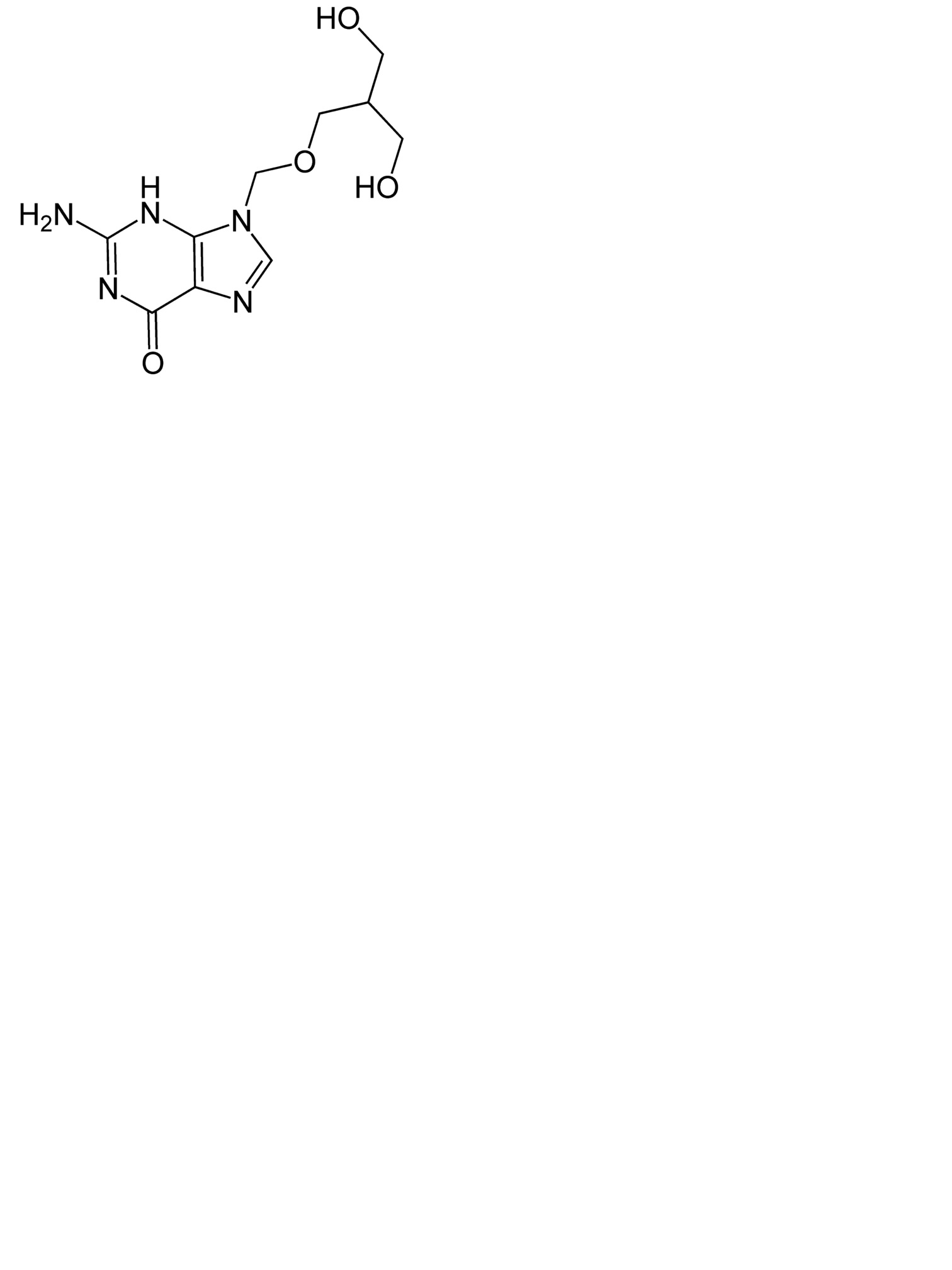
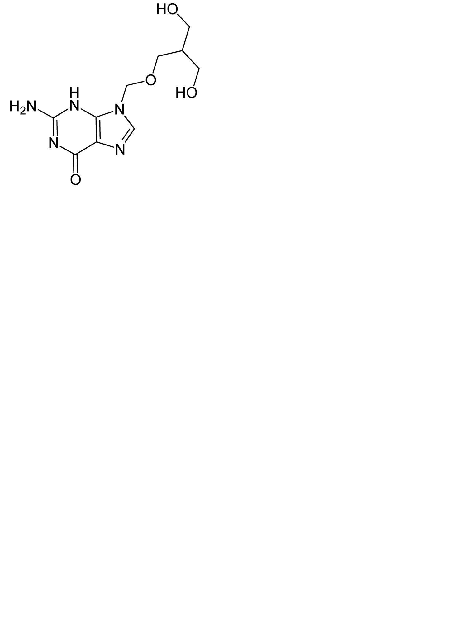
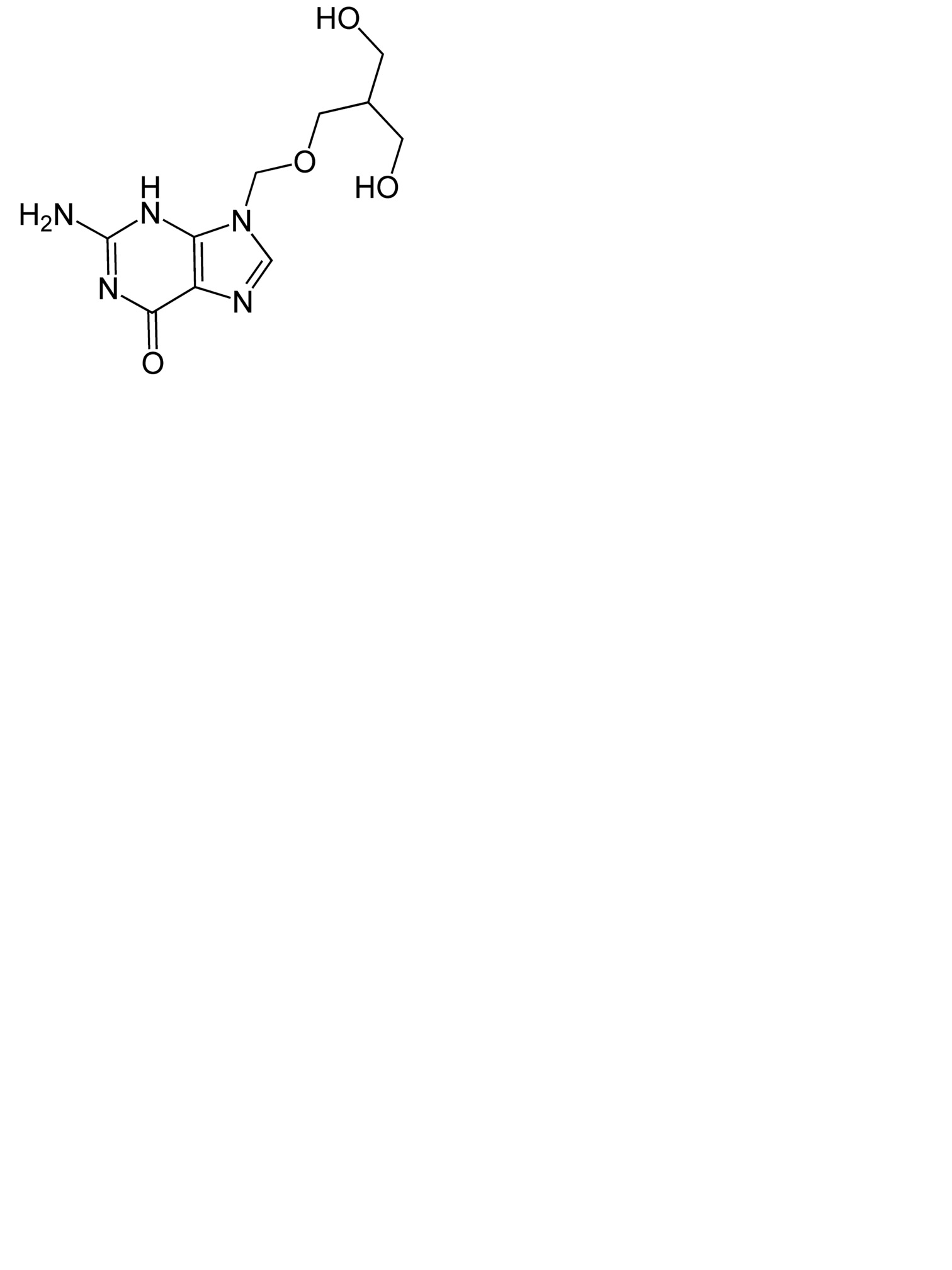
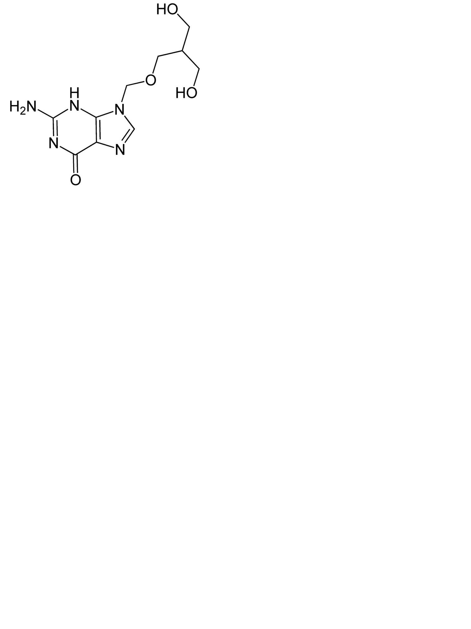
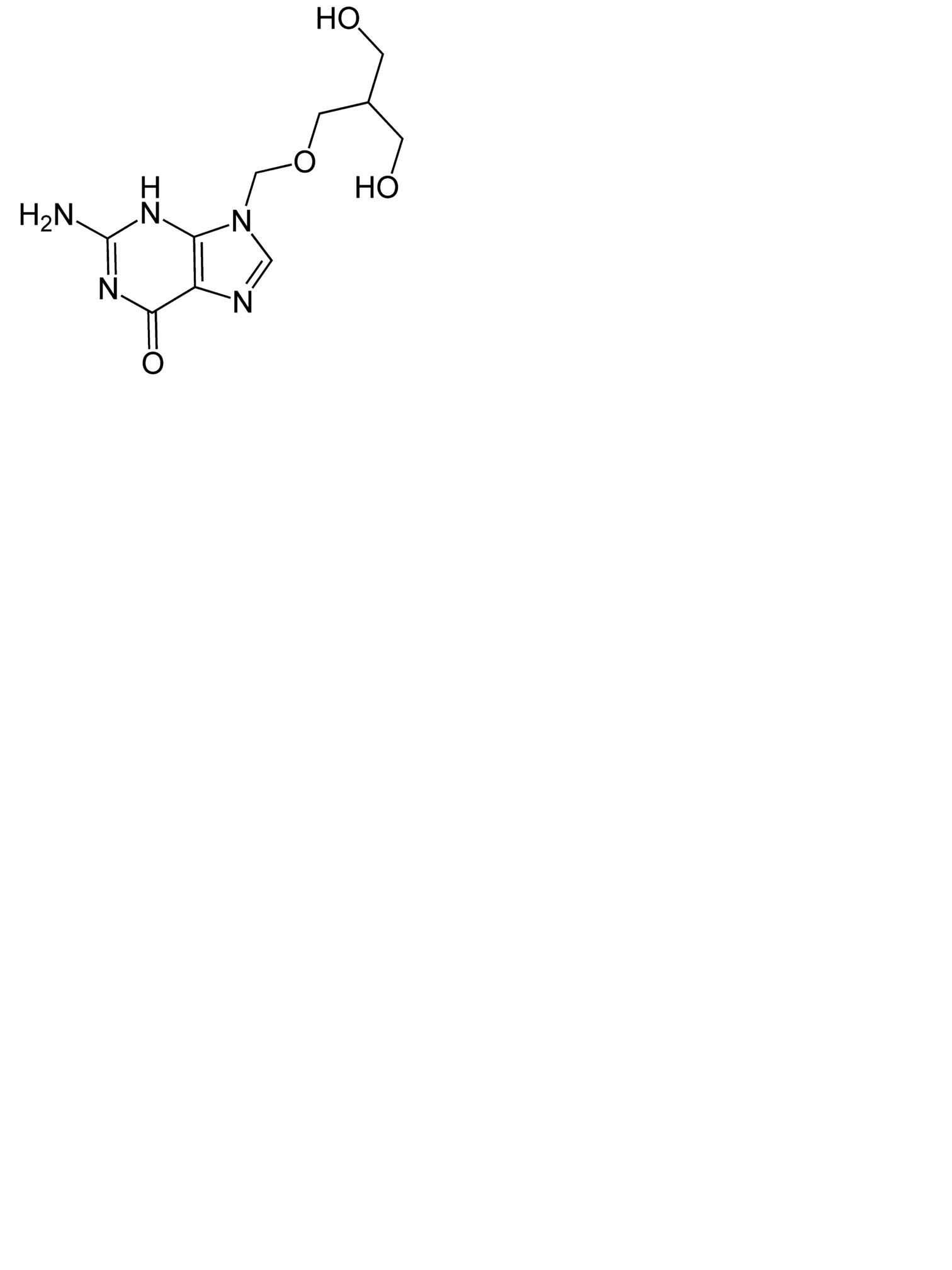
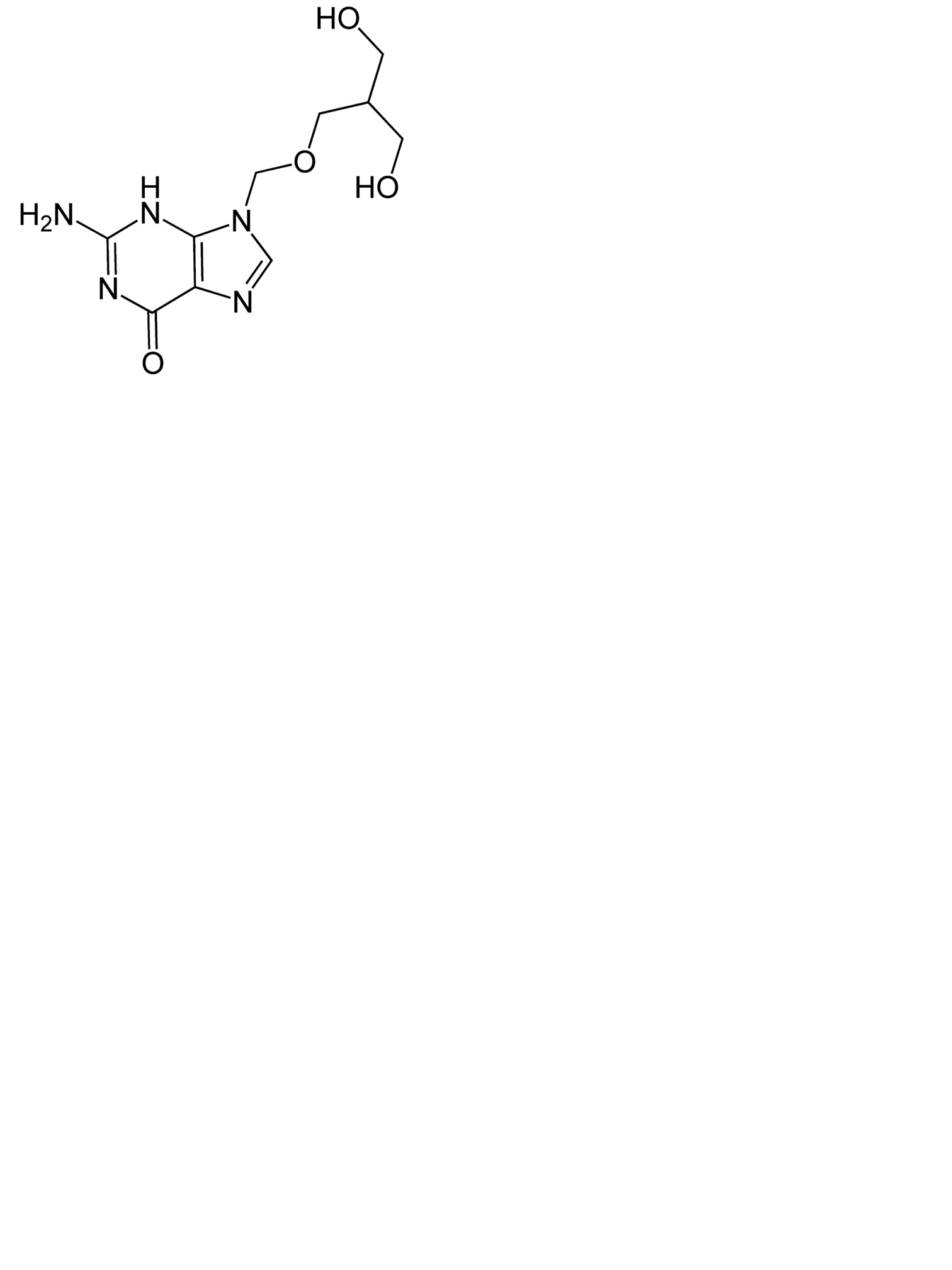
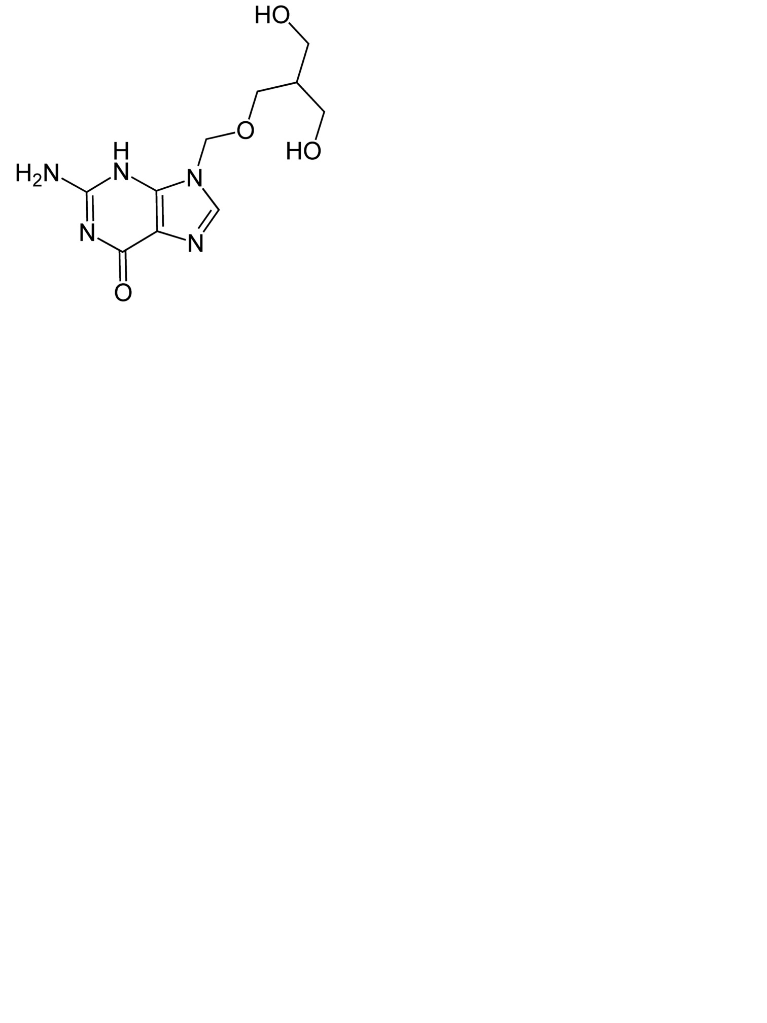
   Formula chimica  

colir
Compatibilitate   colir   Compatibilitate : Ganciclovir              
Absenta de date

  Mentions Légales