viimane versioon :
18/03/2026
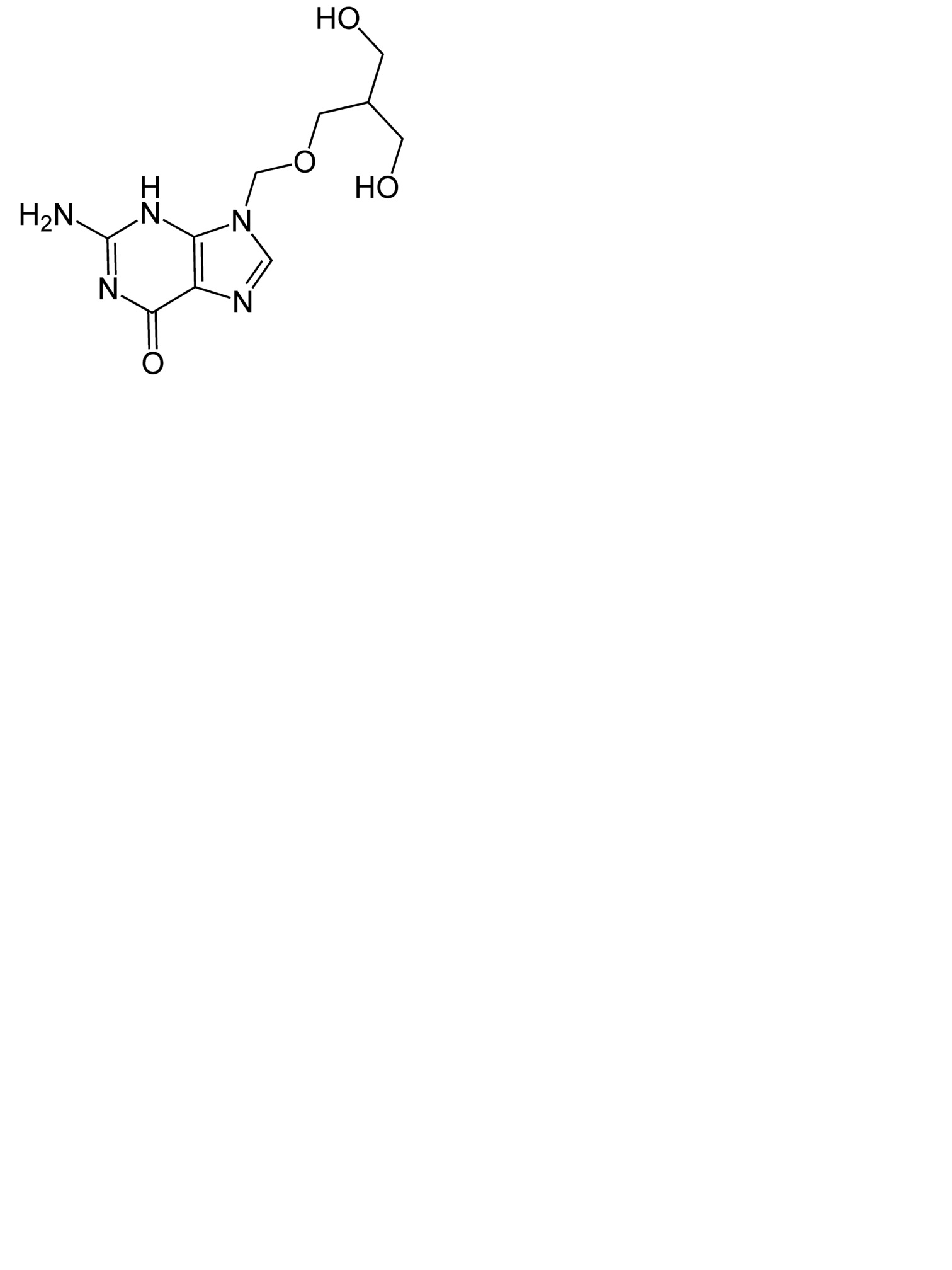
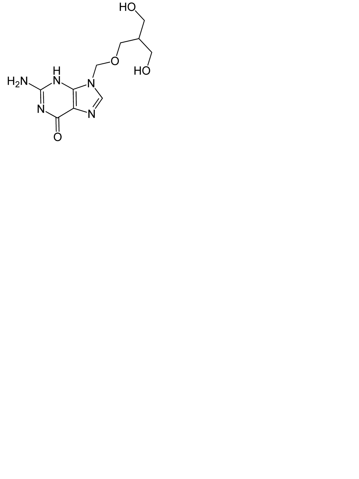
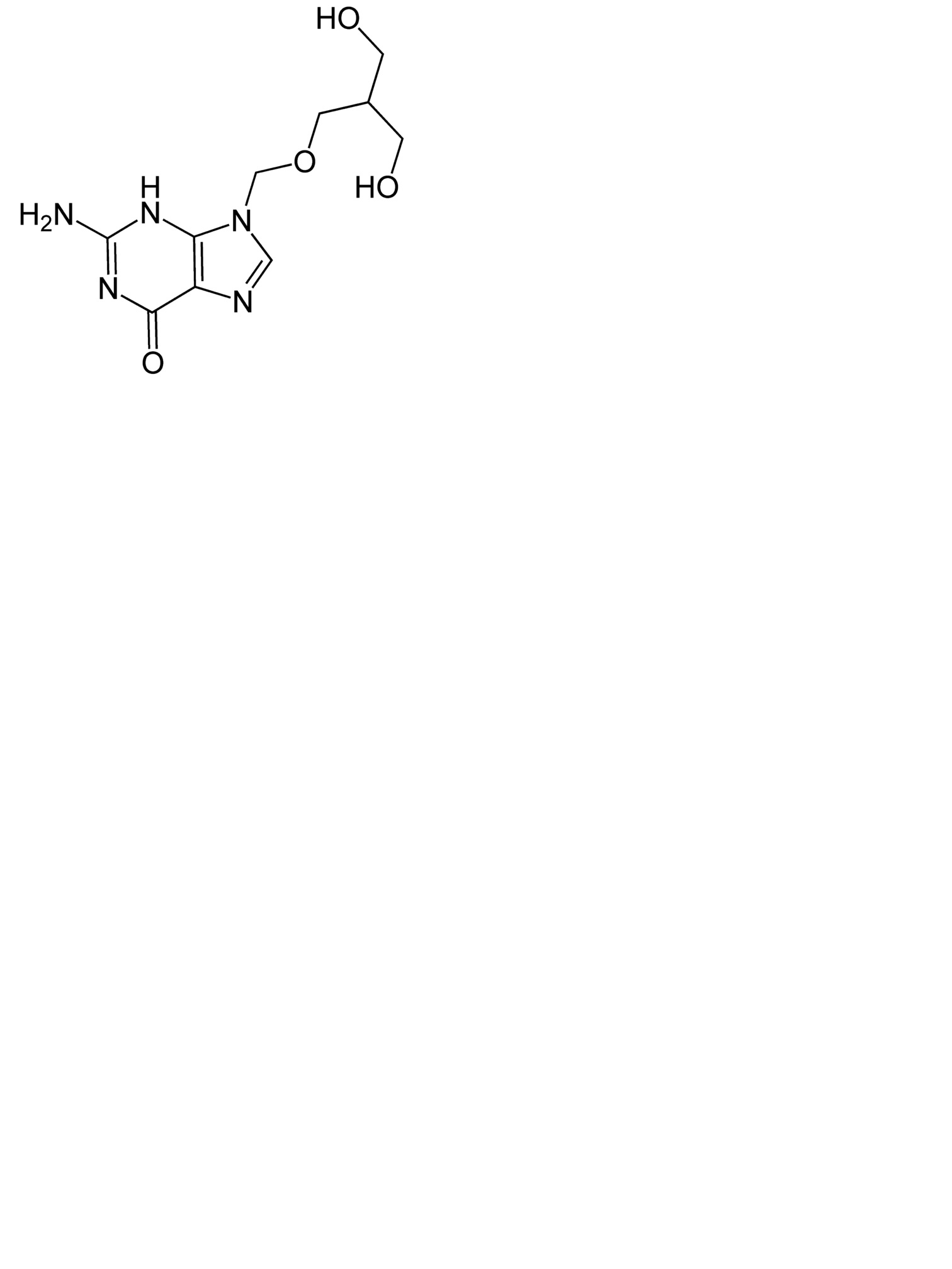
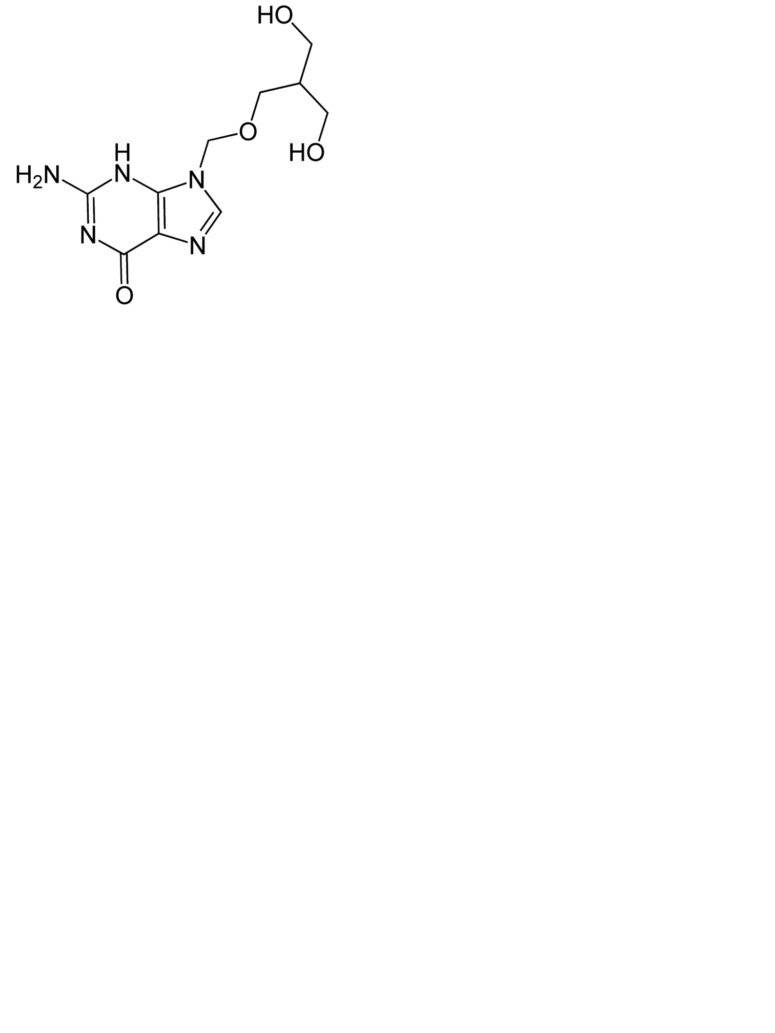
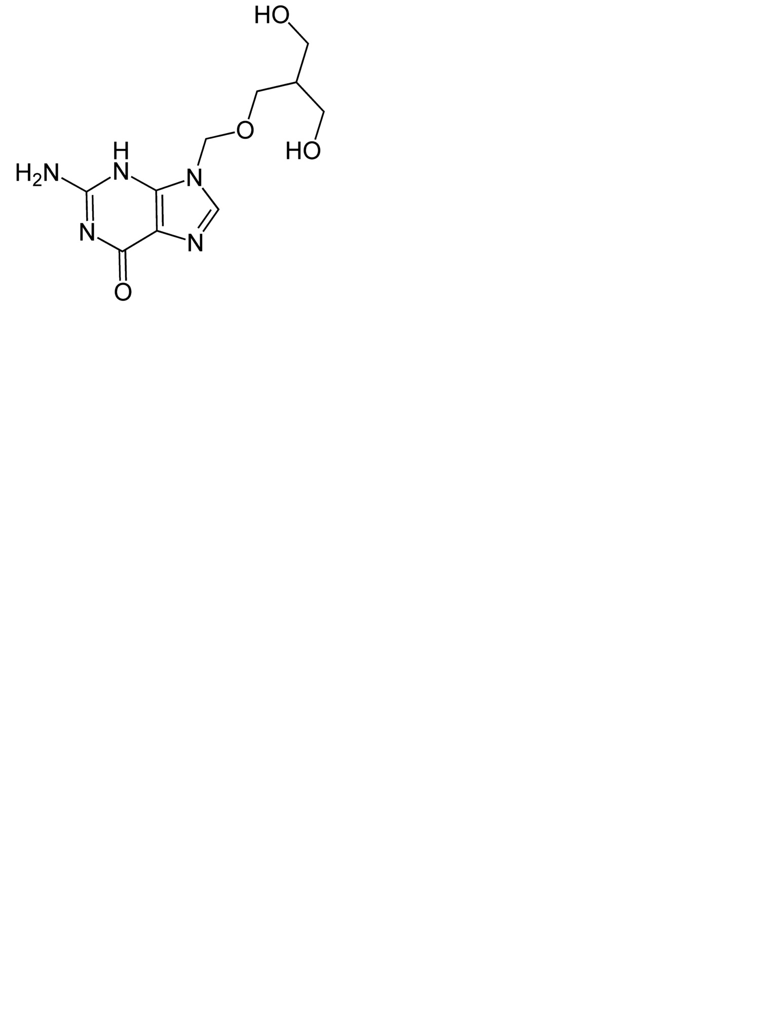
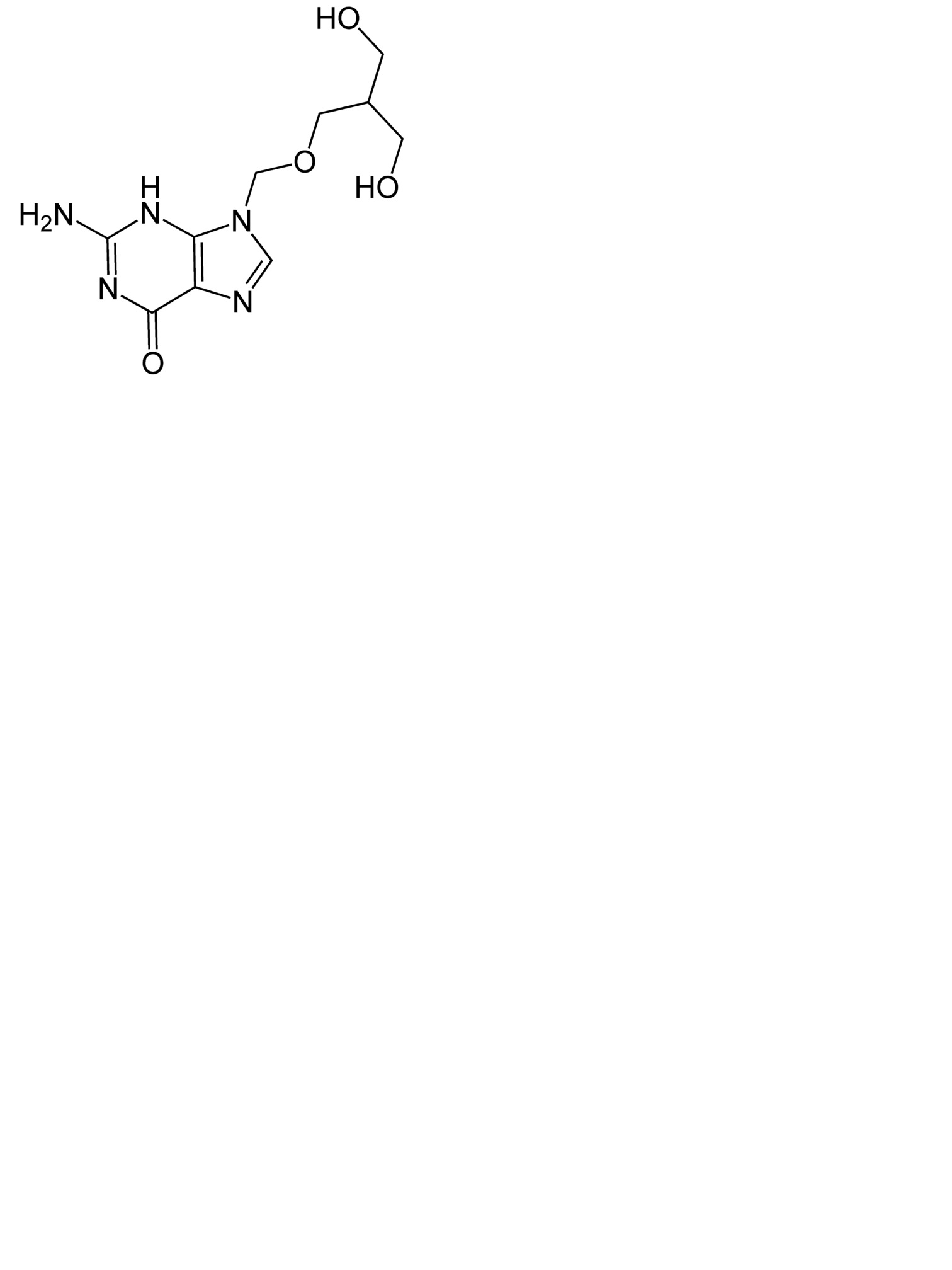
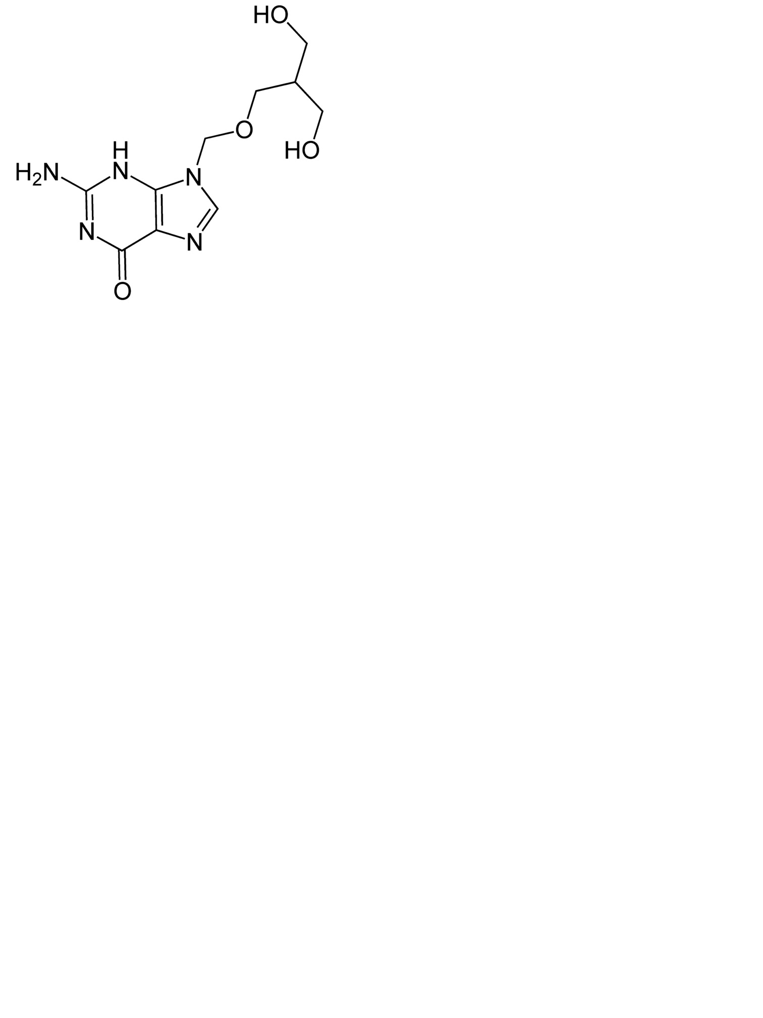
Viirusevastane ravim   Ganciclovir  
Silmatilgad
Stabiilsust ravimpreparaadid Stabiilsust mõjutavad tegurid stabiilsust mõjutavad faktorid Sobimatus Viited pdf
   keemiline struktuur  

Silmatilgad
Sobimatus   Silmatilgad   Sobimatus : Ganciclovir              
andmed puuduvad

  Mentions Légales