Pēdējā atjaunošana :
18/03/2026
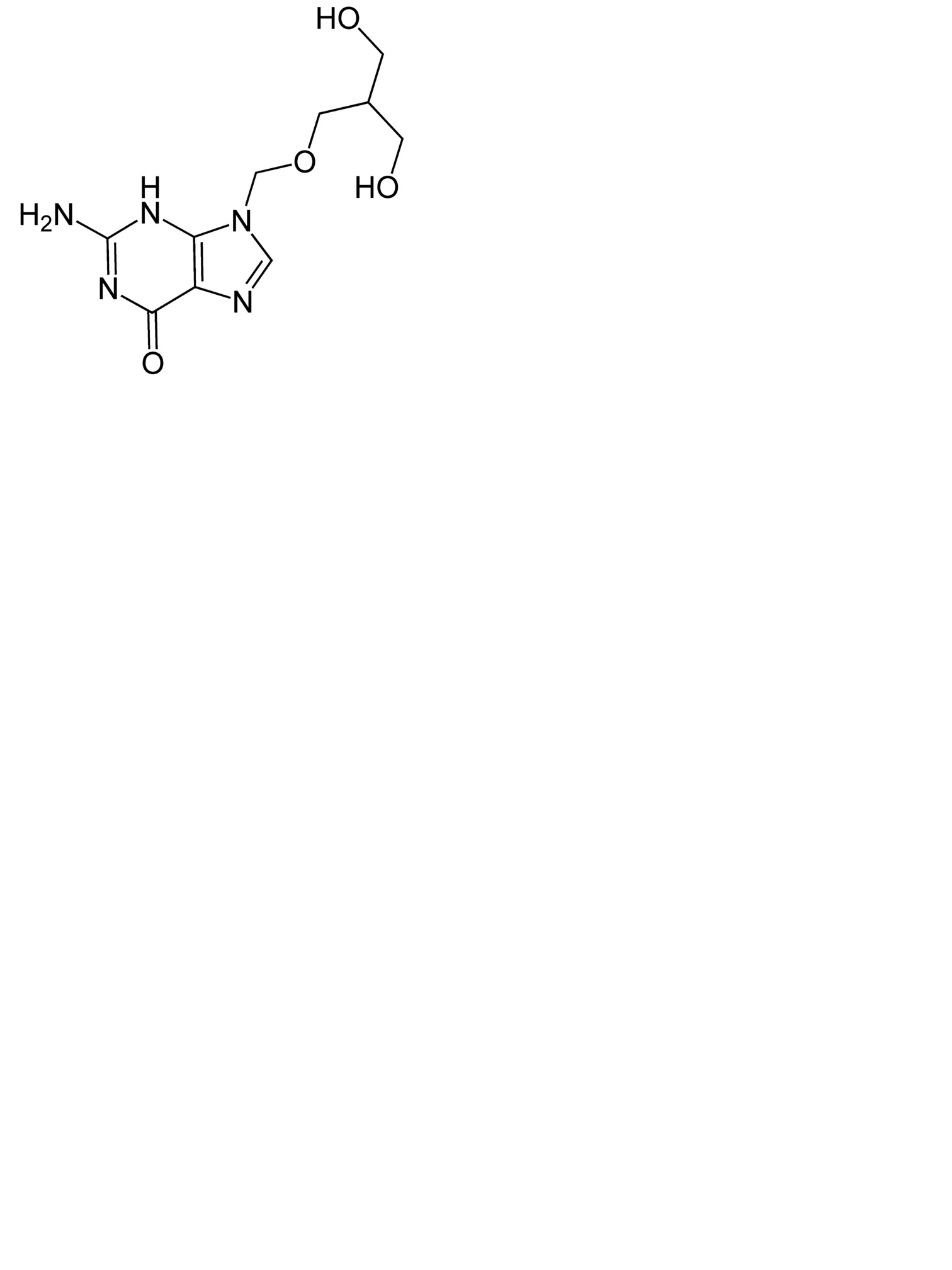
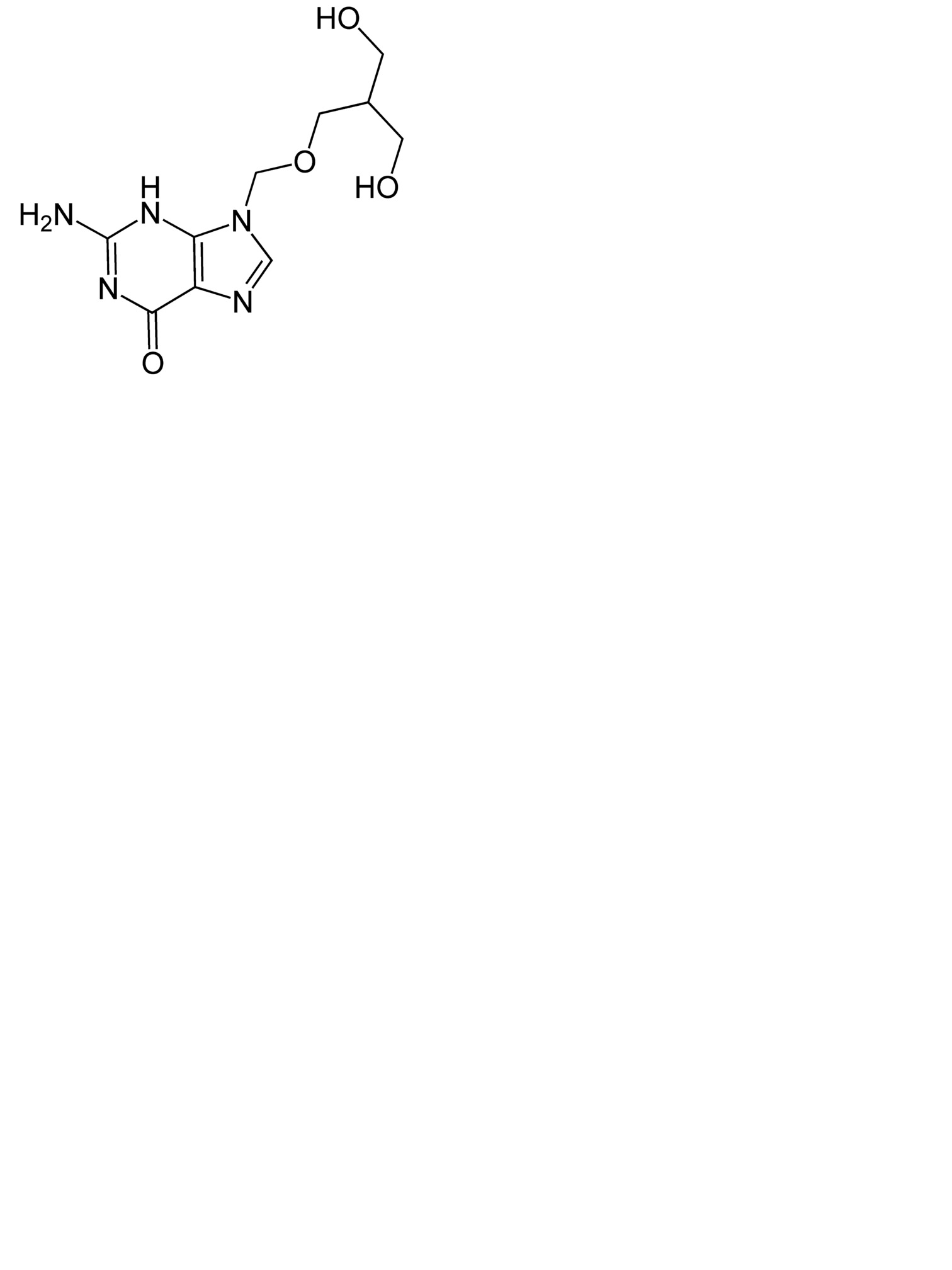
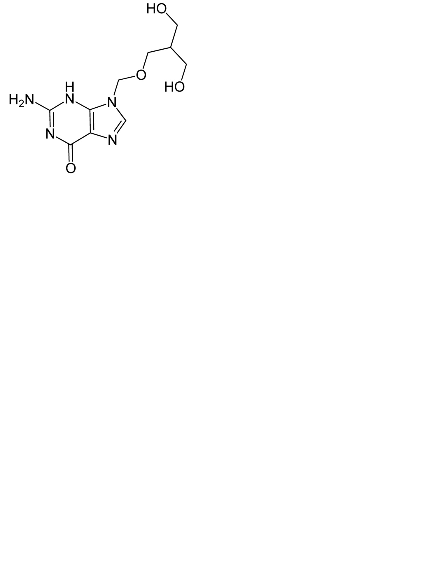
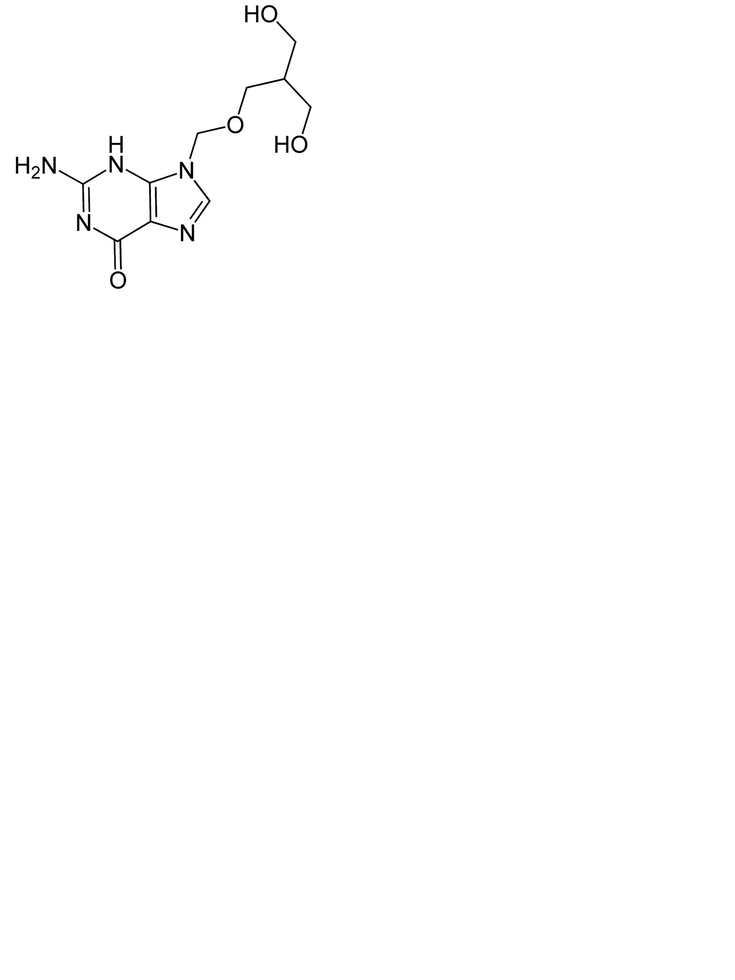
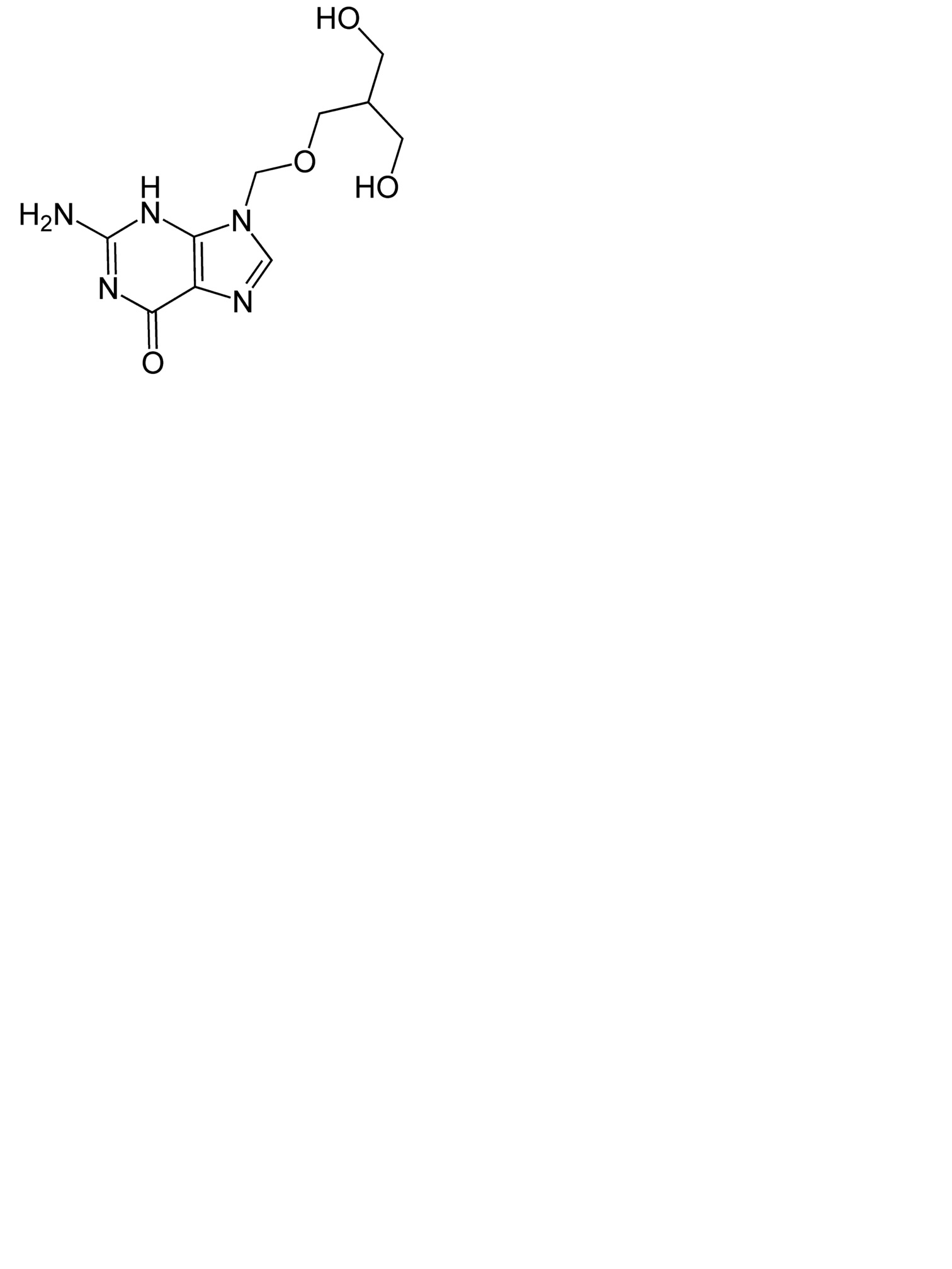
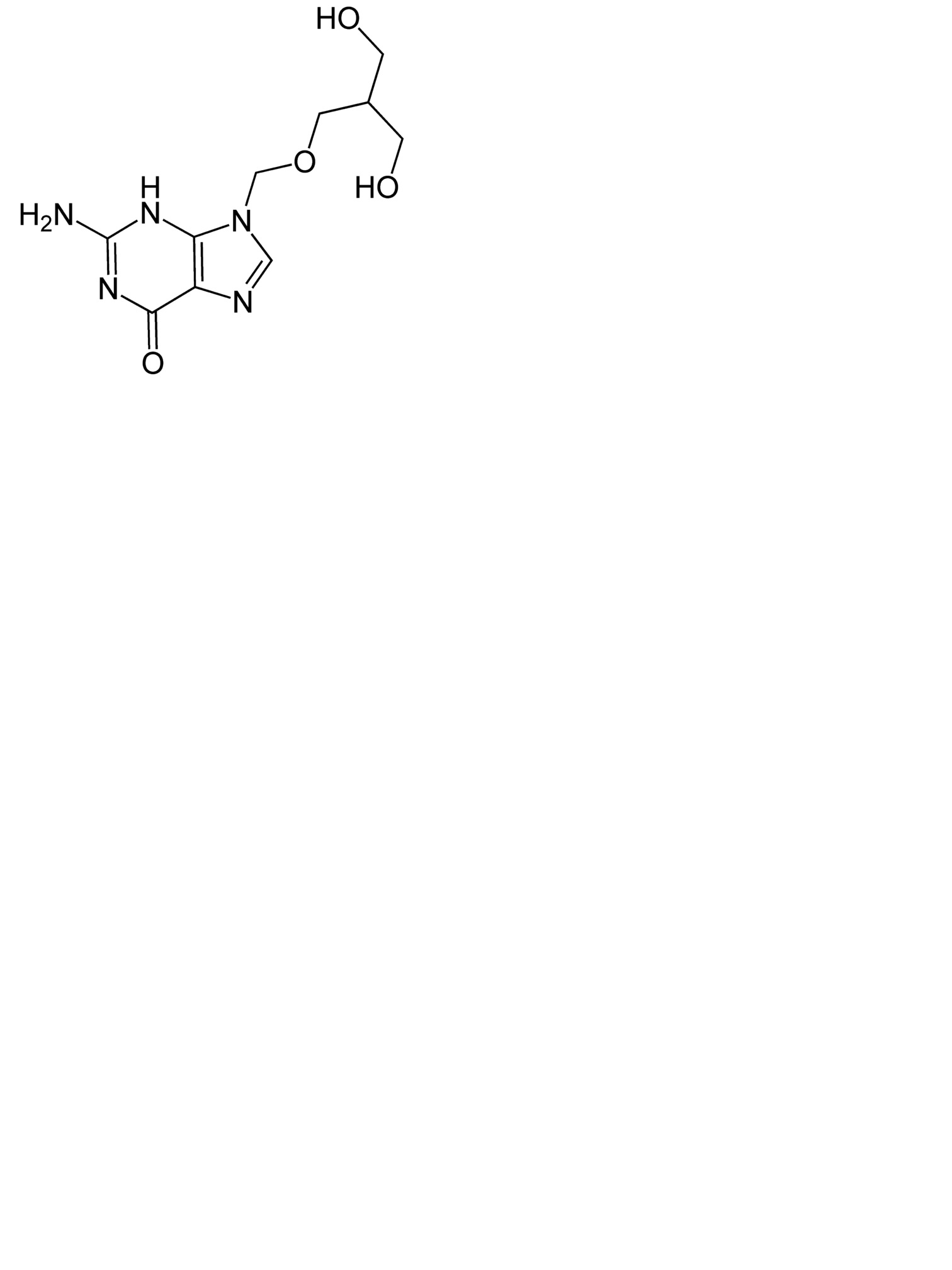
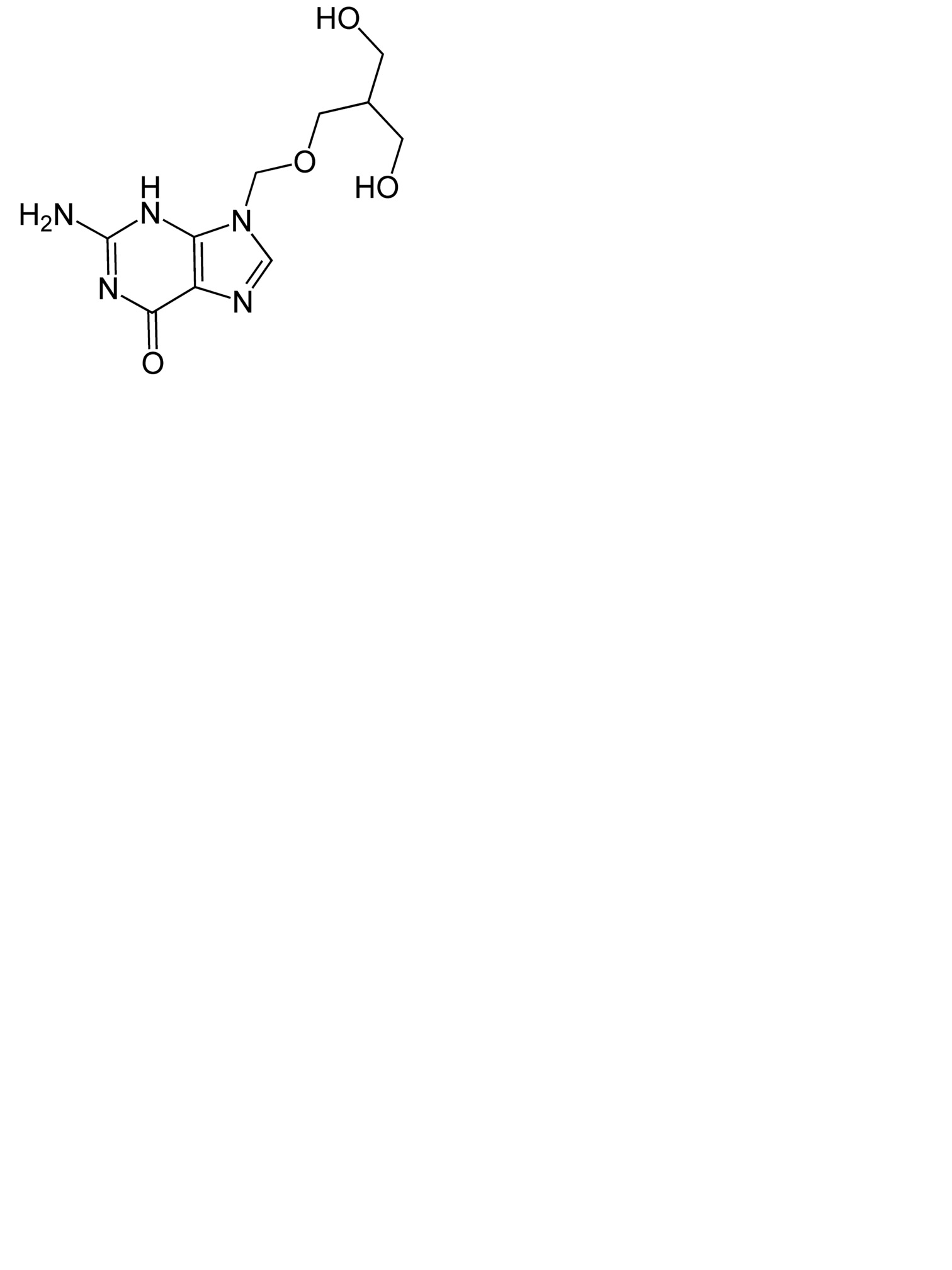
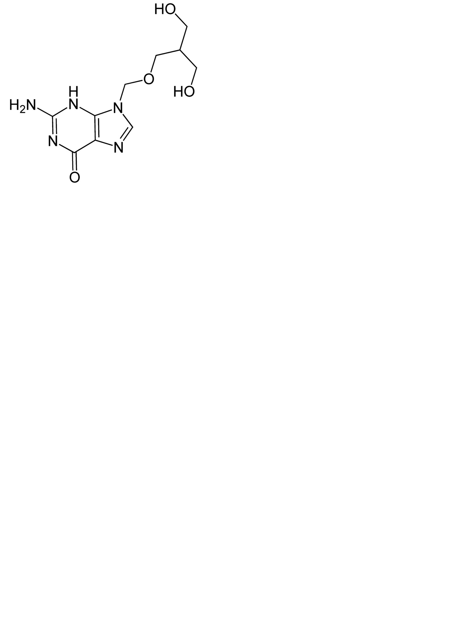
Pretvīrusu līdzeklis   Ganciclovir  
Acu pilieni
Stabilitāte farmaceitisko preparātu Maisījuma stabilitāte Stabilitāti ietekmējoši faktori Saderība Literatūras saraksts pdf
   Ķīmiskā uzbūve   

Acu pilieni
Saderība   Acu pilieni   Saderība : Ganciclovir              
Nav datu

  Mentions Légales