zadnja posodobitev :
18/03/2026
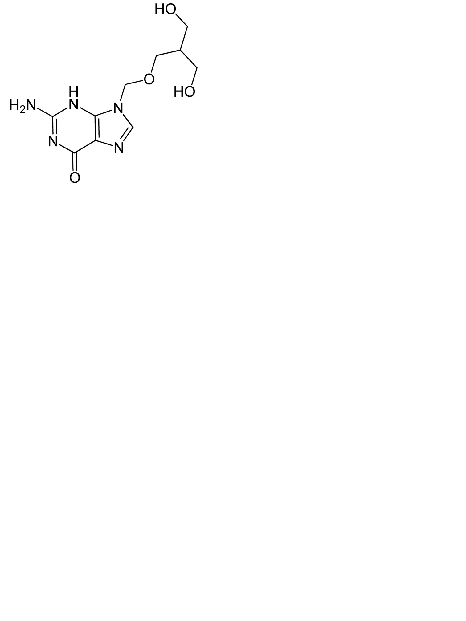
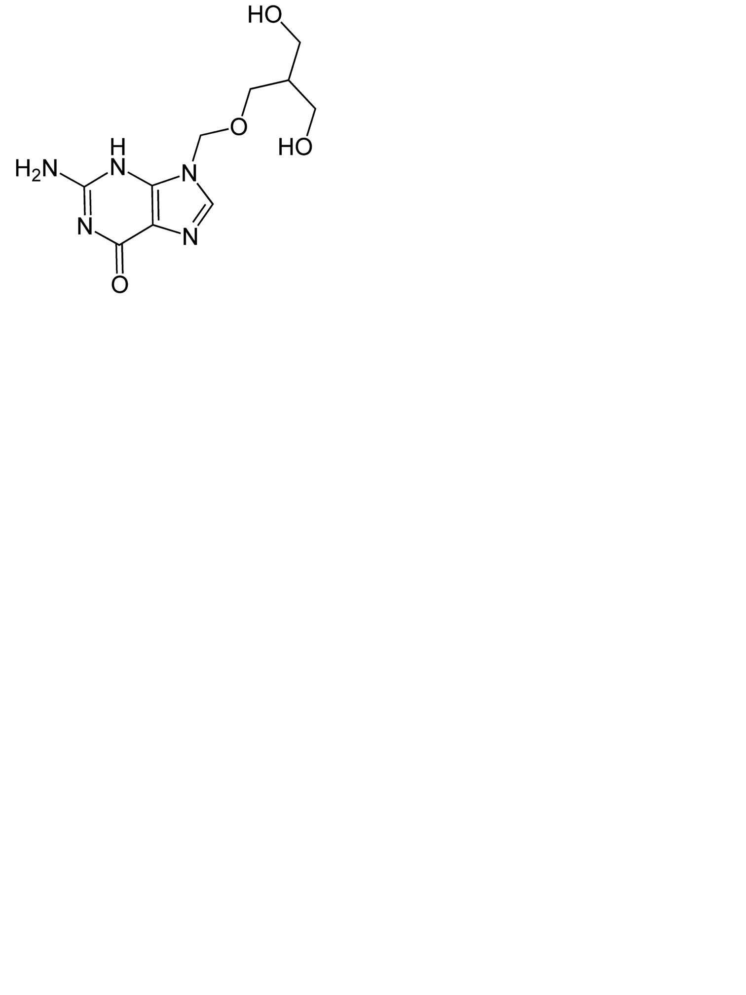
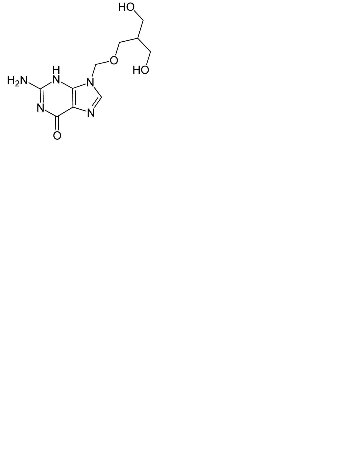
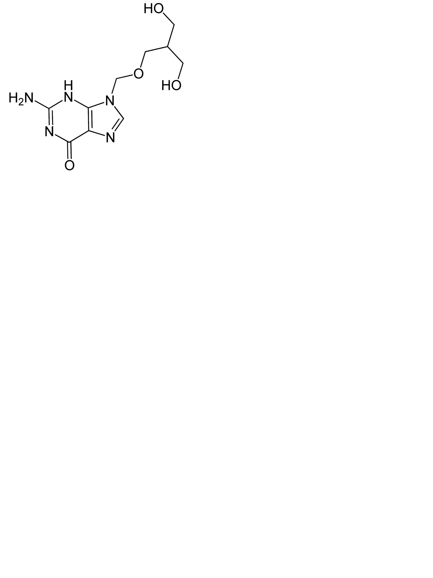
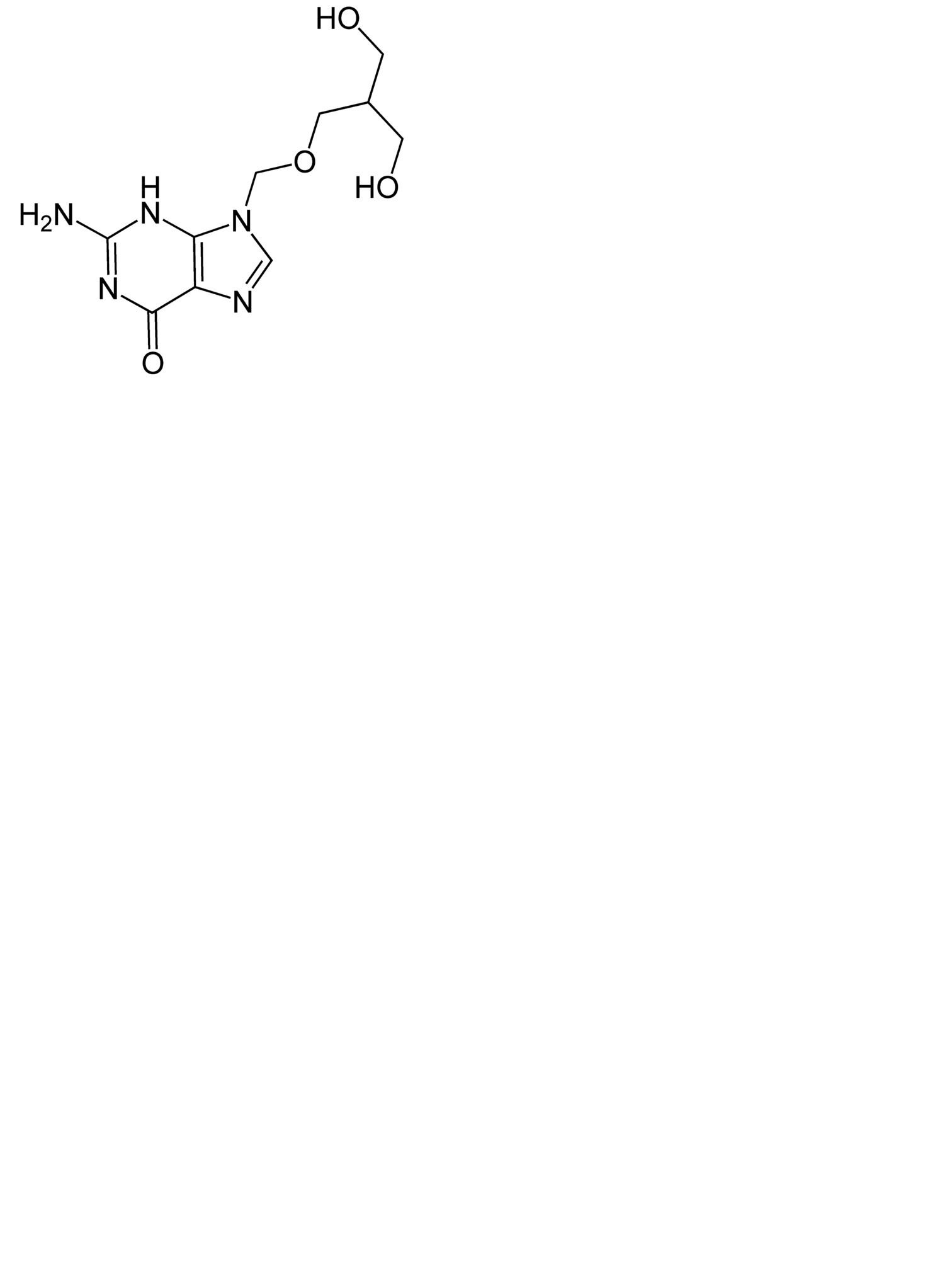
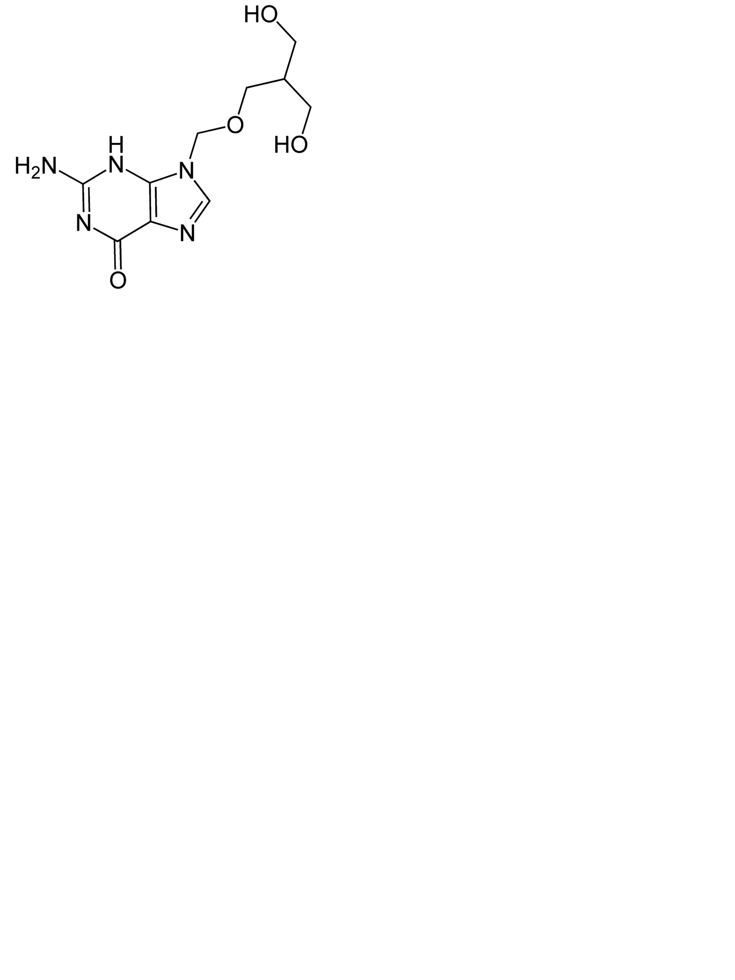
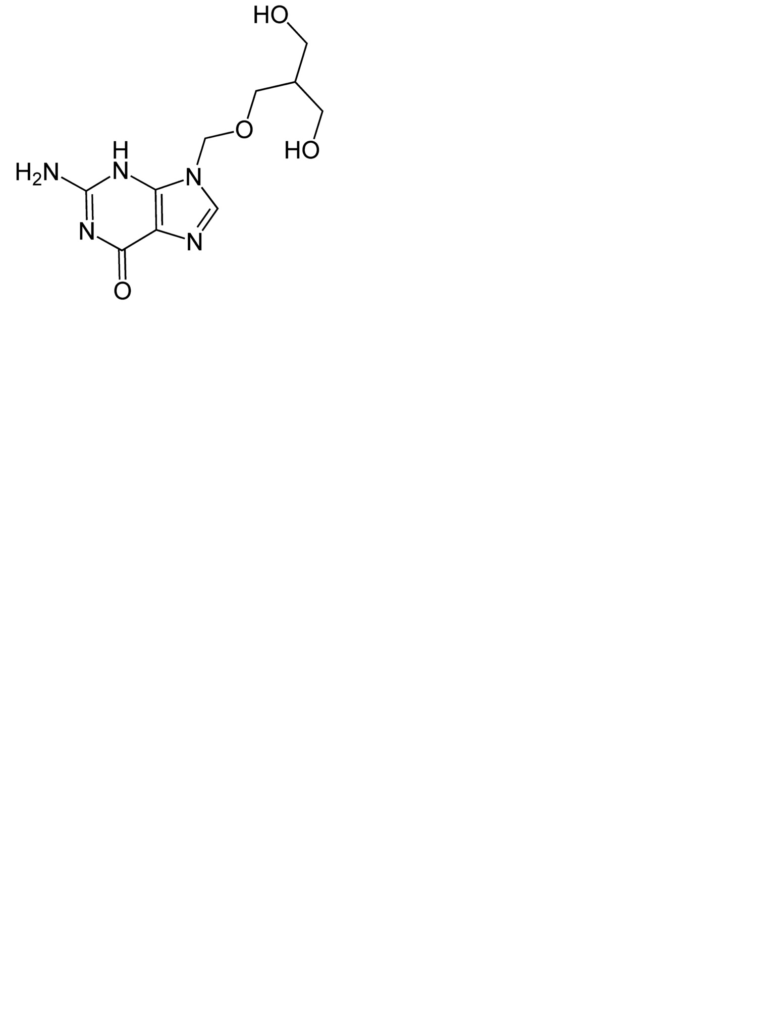
Protivirusno zdravilo   Ganciclovir  
Kapljice za oči
Stabilnost farmacevtskih preparatov Stabilnost mešanice Faktorji, ki vplivajo na stabilnost Kompatibilnost Viri pdf
   Kemična formula  

Kapljice za oči
Kompatibilnost   Kapljice za oči   Kompatibilnost : Ganciclovir              
ni podatka

  Mentions Légales