Последно актуализиране :
18/03/2026
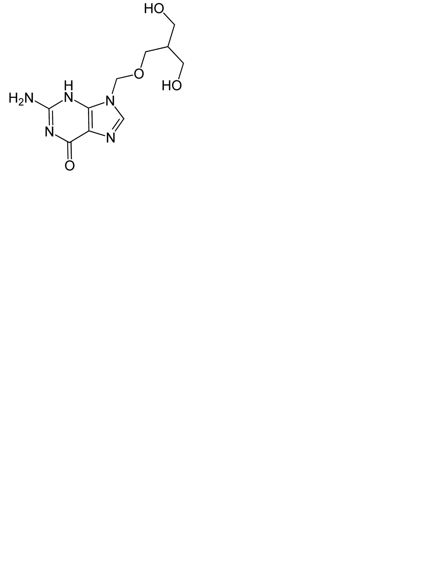
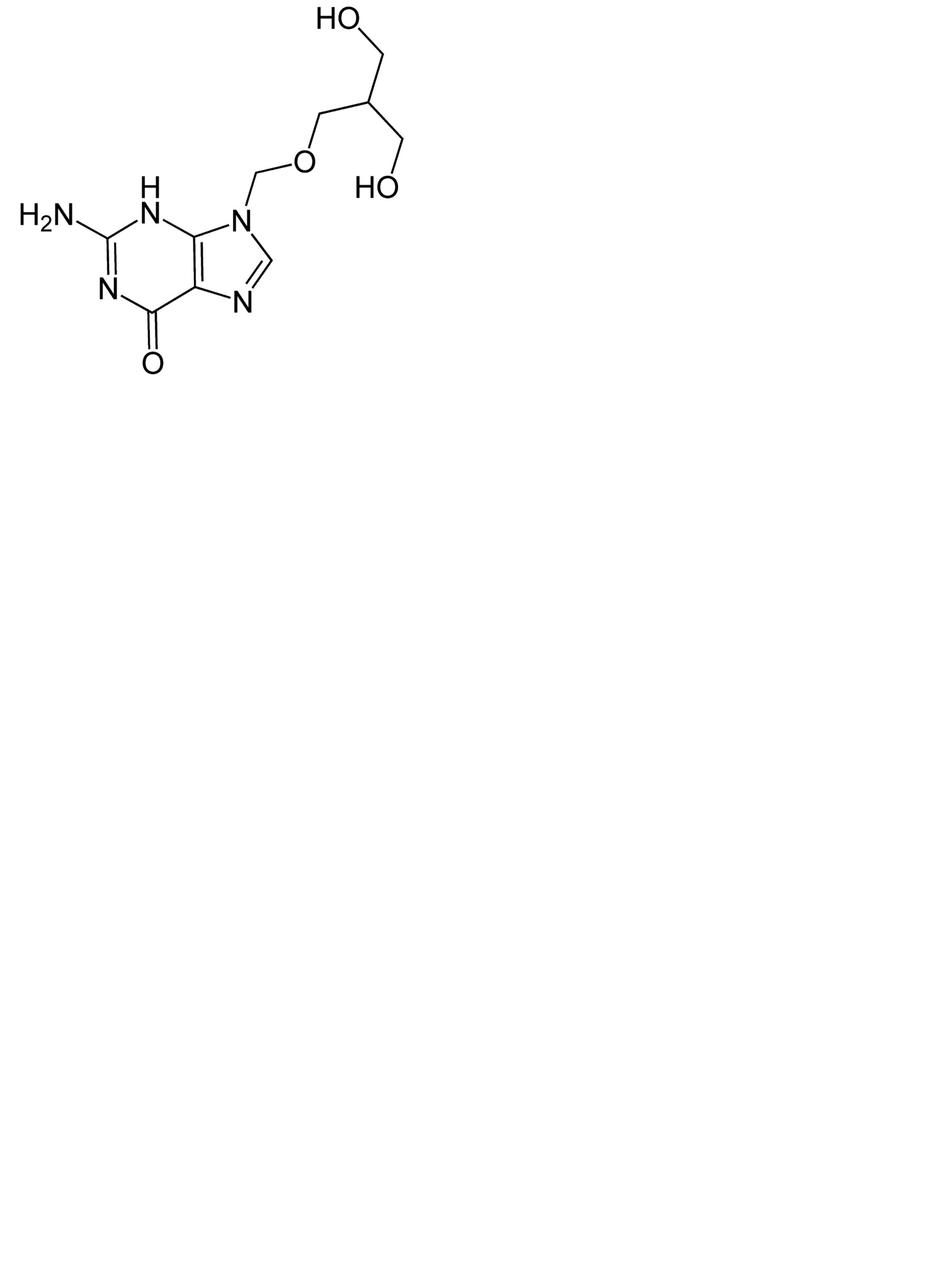
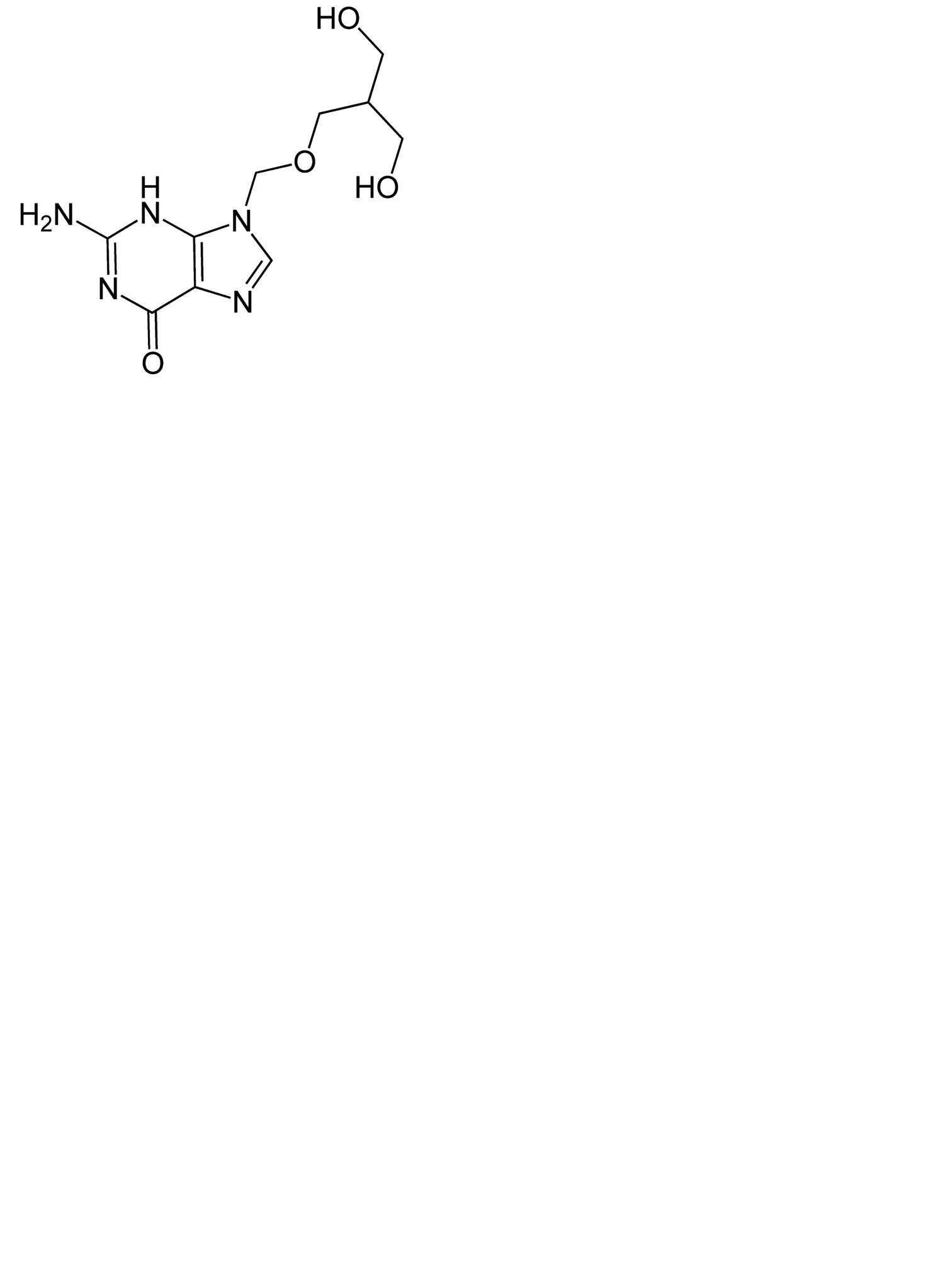
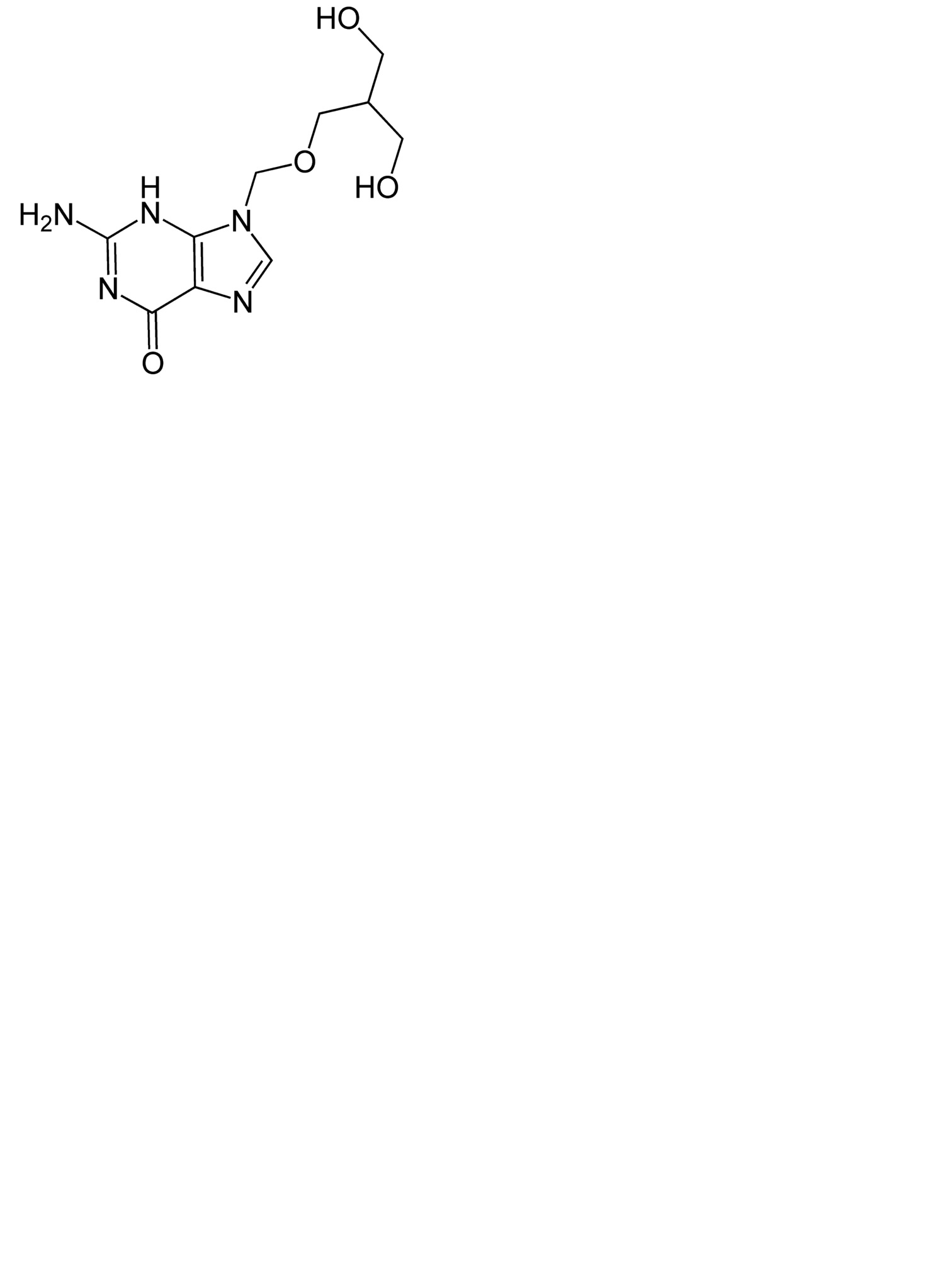
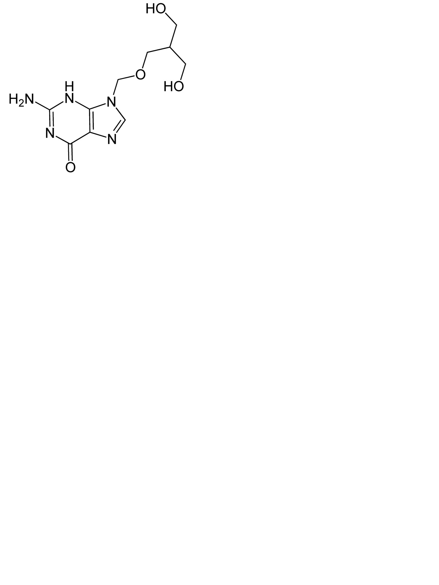
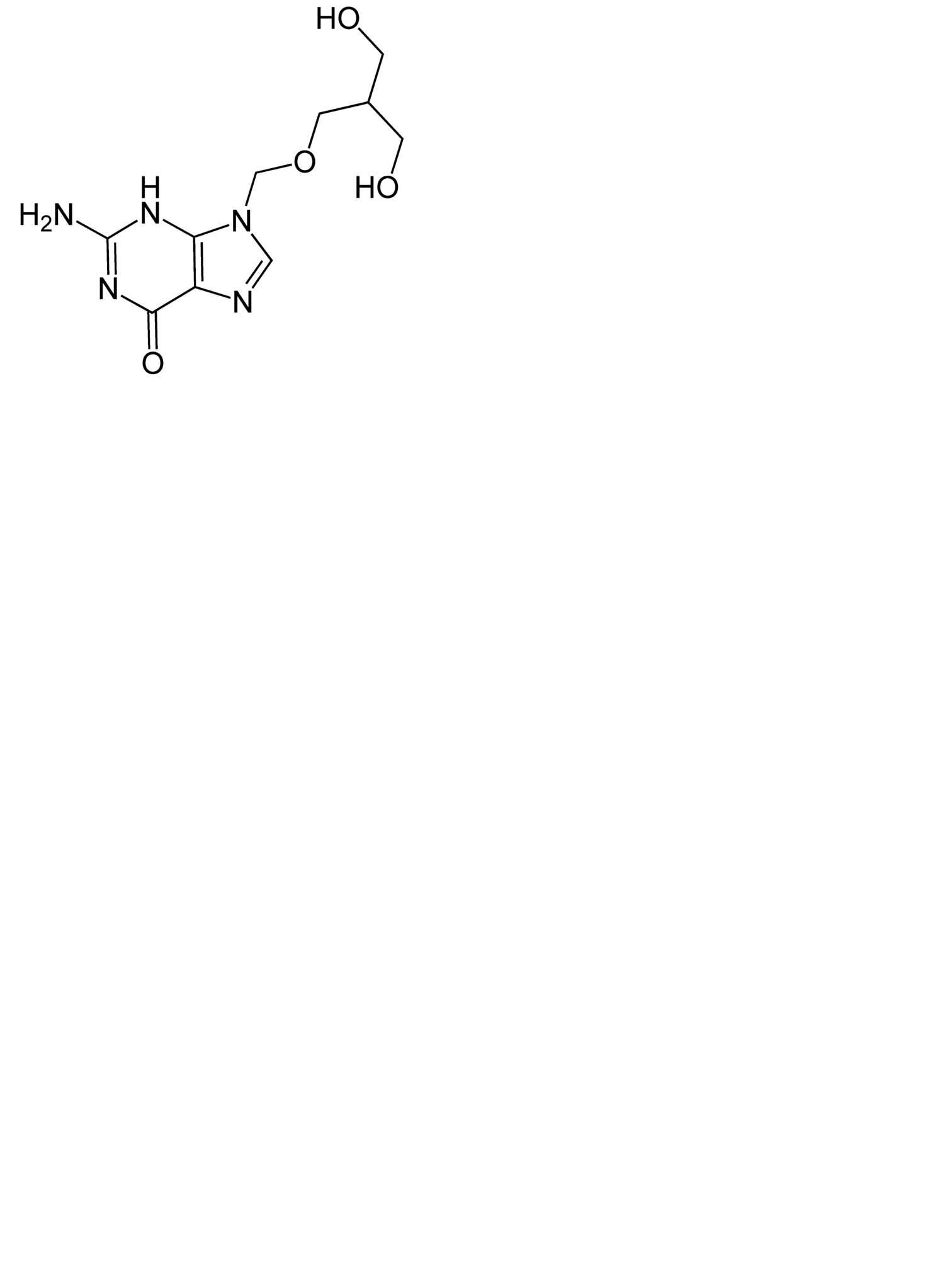
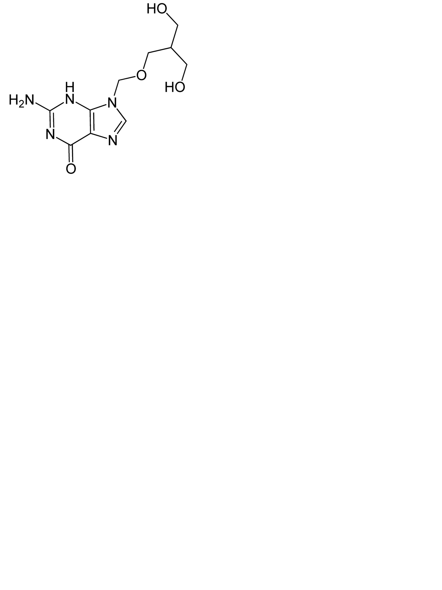
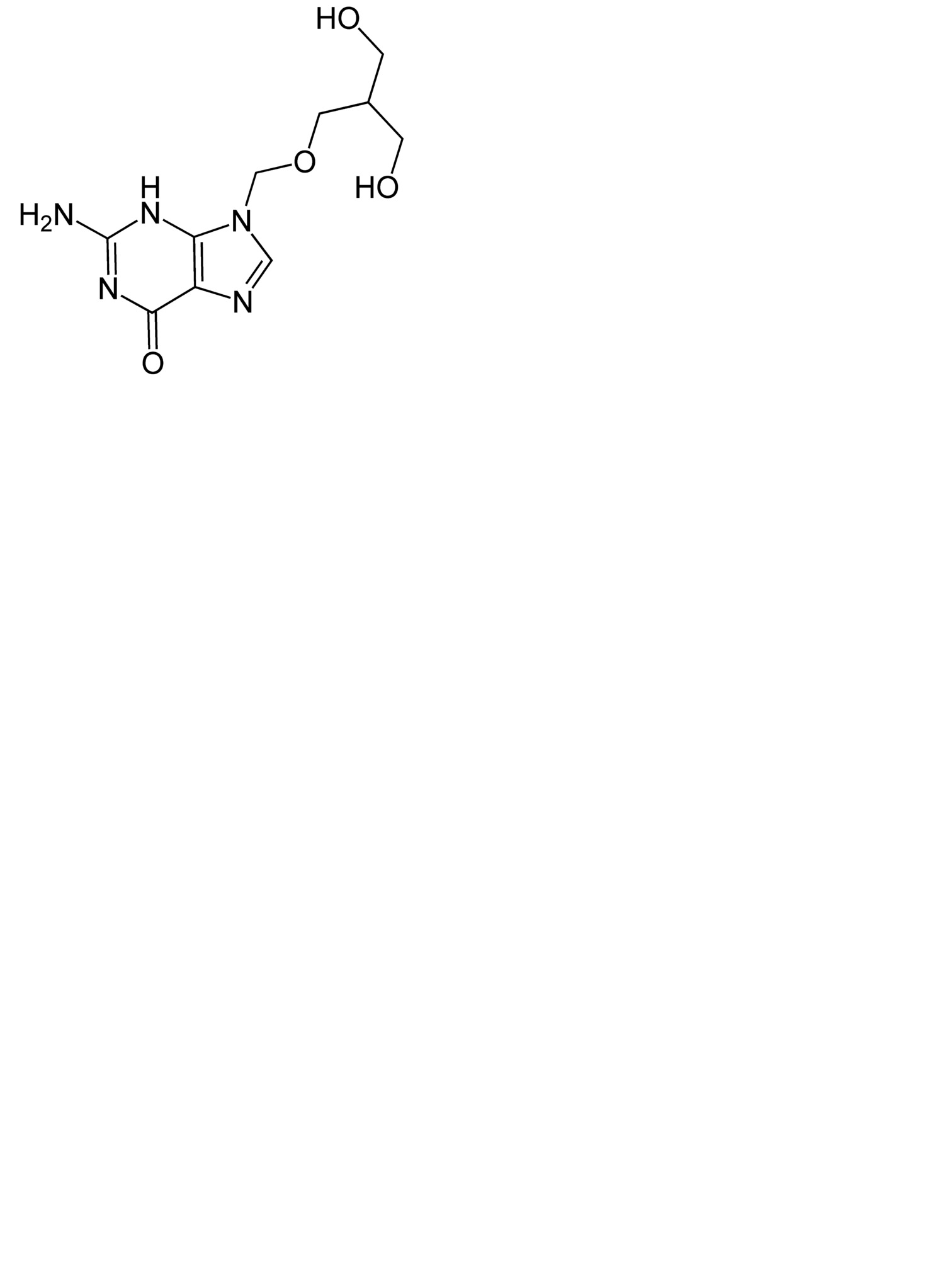
Противовирусно средство   Ganciclovir  
Капки за очи
Стабилност на лекарствени препарати Стабилност на смеси Фактори, повлияващи стабилността Съвместимост Библиография Pdf
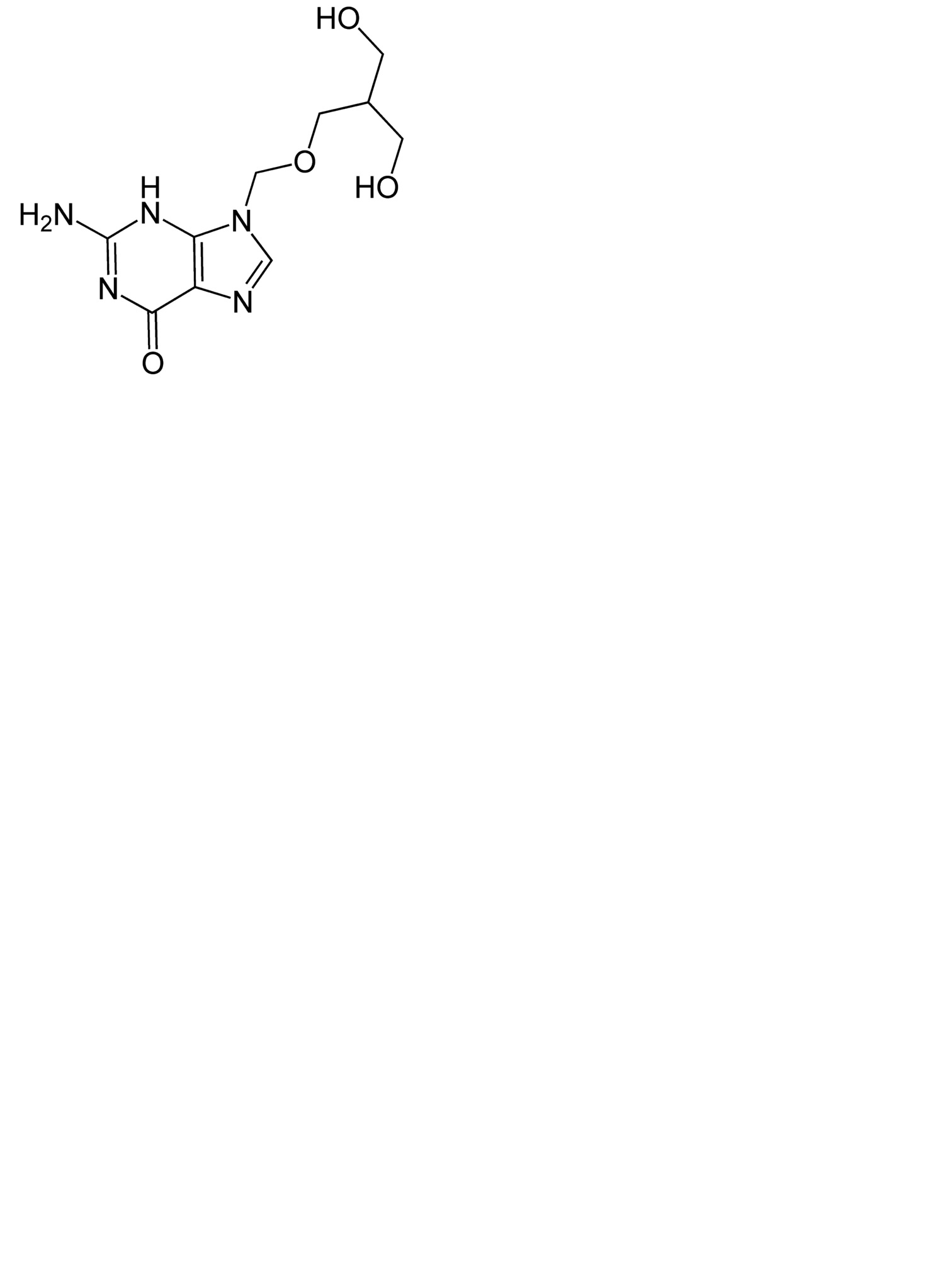
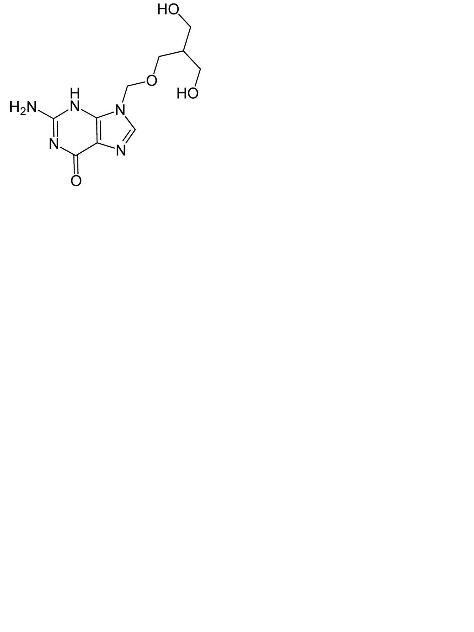
   Химична структура  

Капки за очи
Съвместимост   Капки за очи   Съвместимост : Ganciclovir              
Няма данни

  Mentions Légales