Last update :
18/03/2026
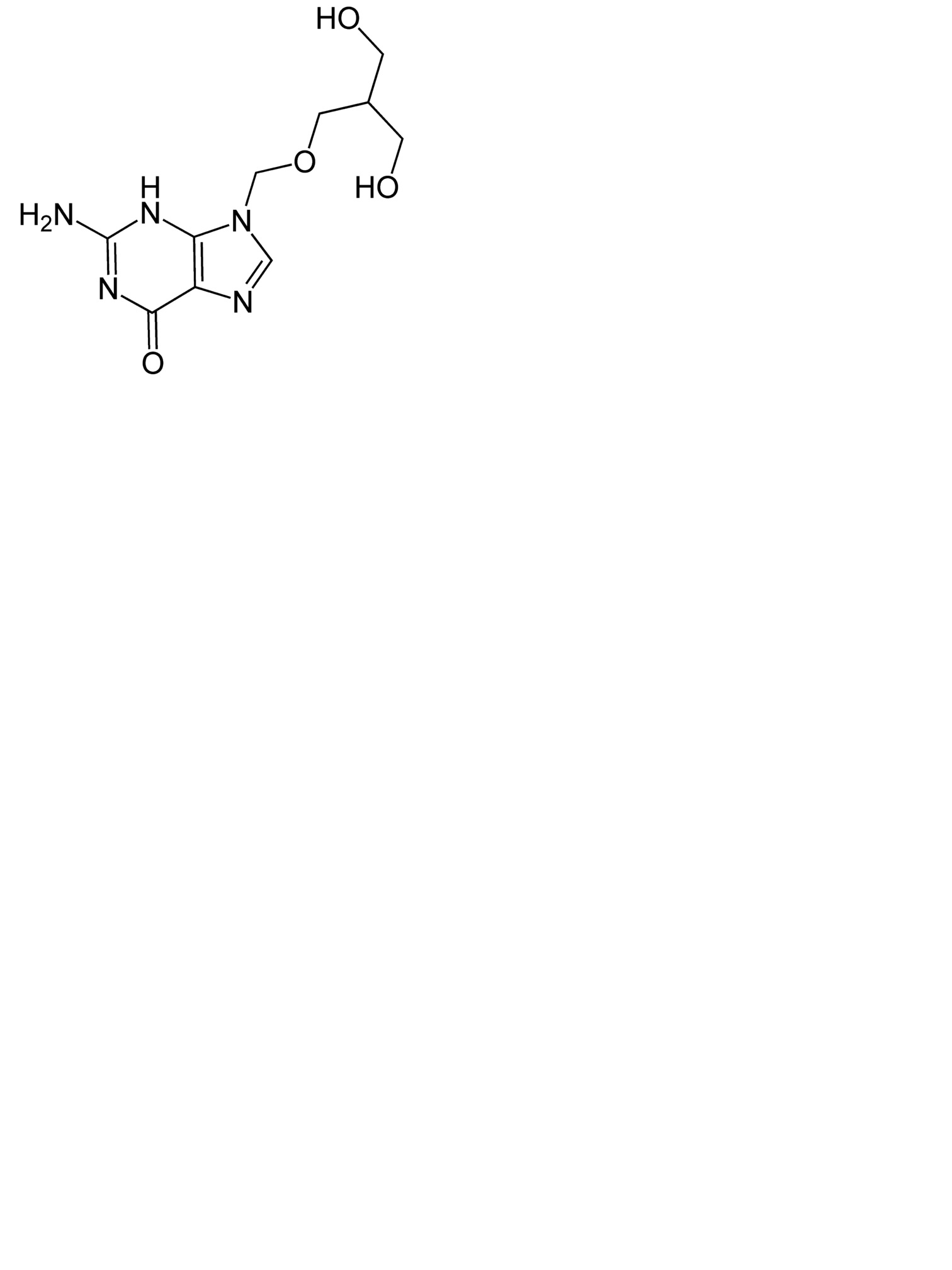
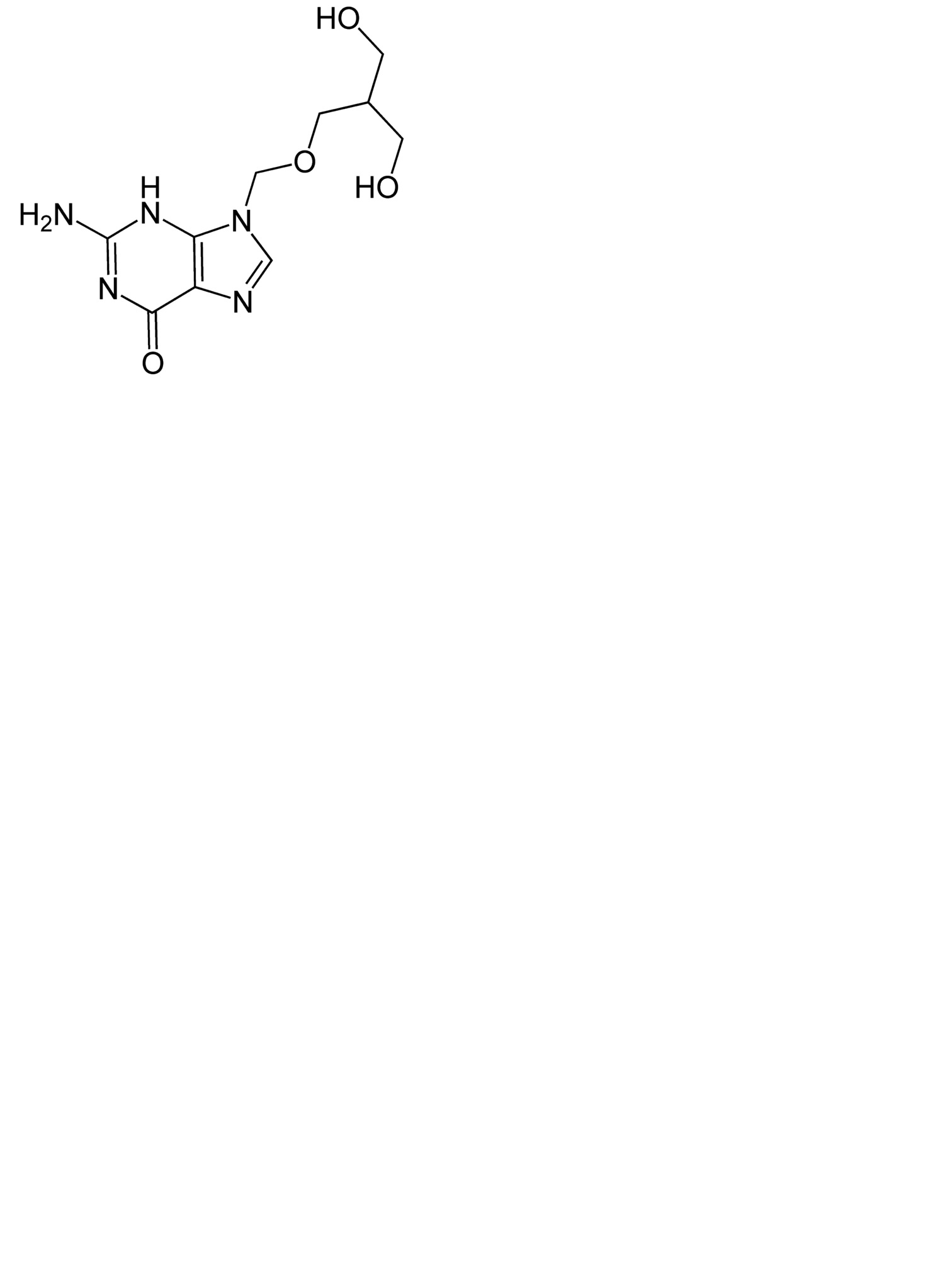
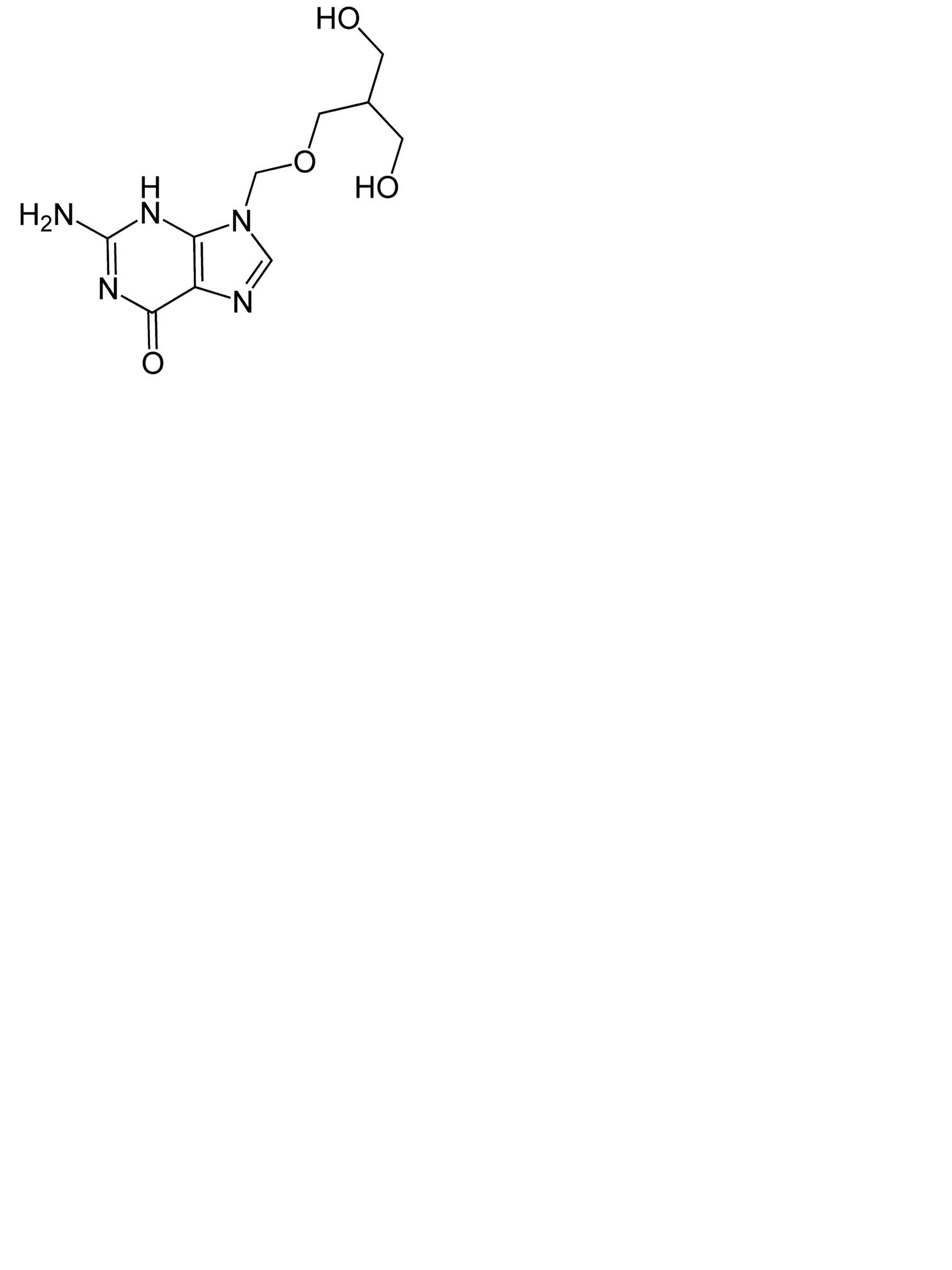
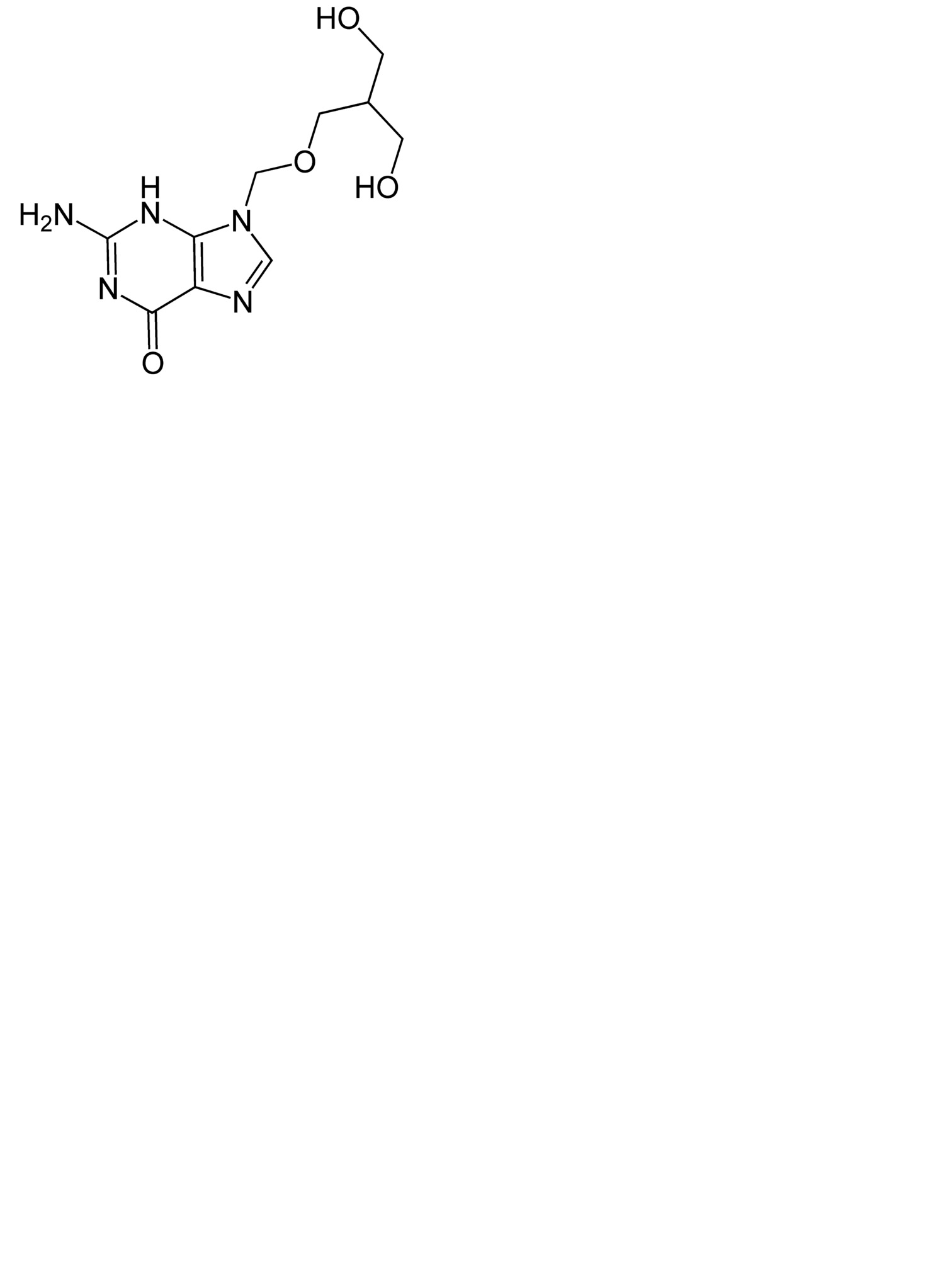
Antiviral   Ganciclovir  
Eye-drops
Stability of pharmaceutical preparations Stability of mixtures Factors which affect stability Compatibility References pdf
   Chemical structure  

Eye-drops
Compatibility   Eye-drops   Compatibility : Ganciclovir              
No data

  Mentions Légales