Poslední aktualizace :
18/03/2026
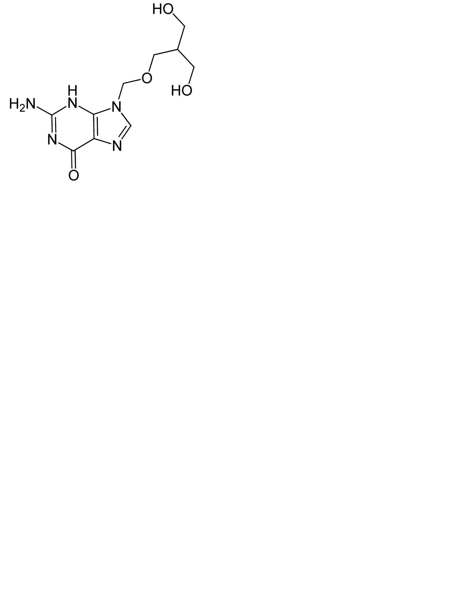
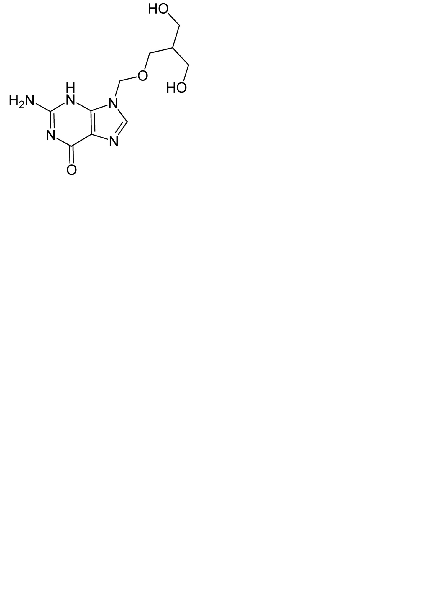
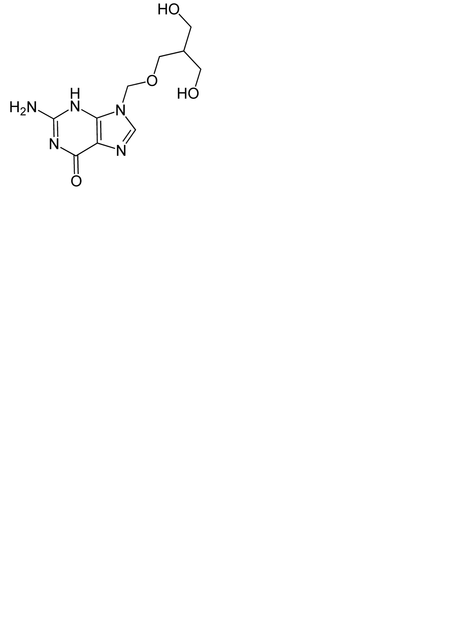
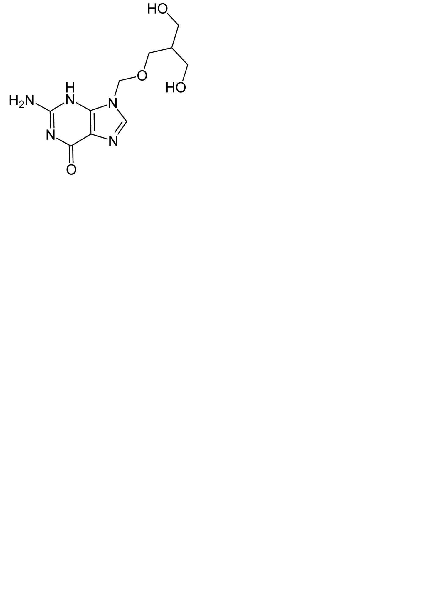
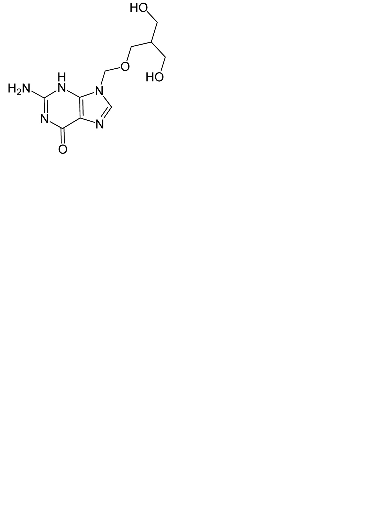
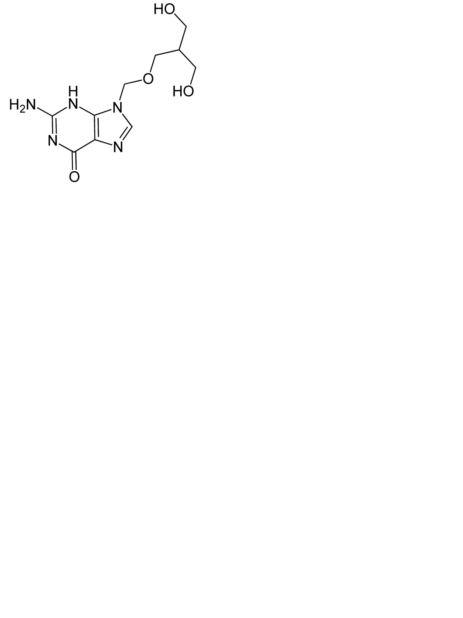
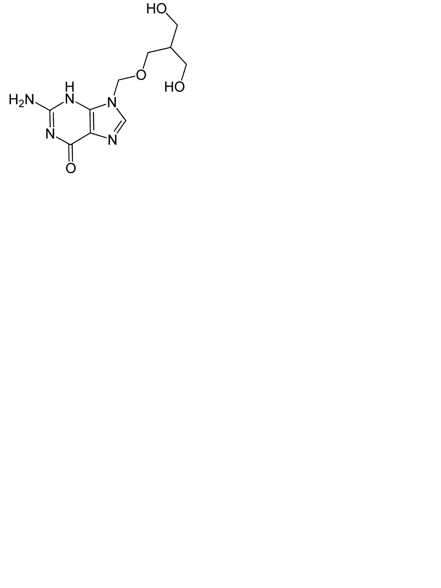
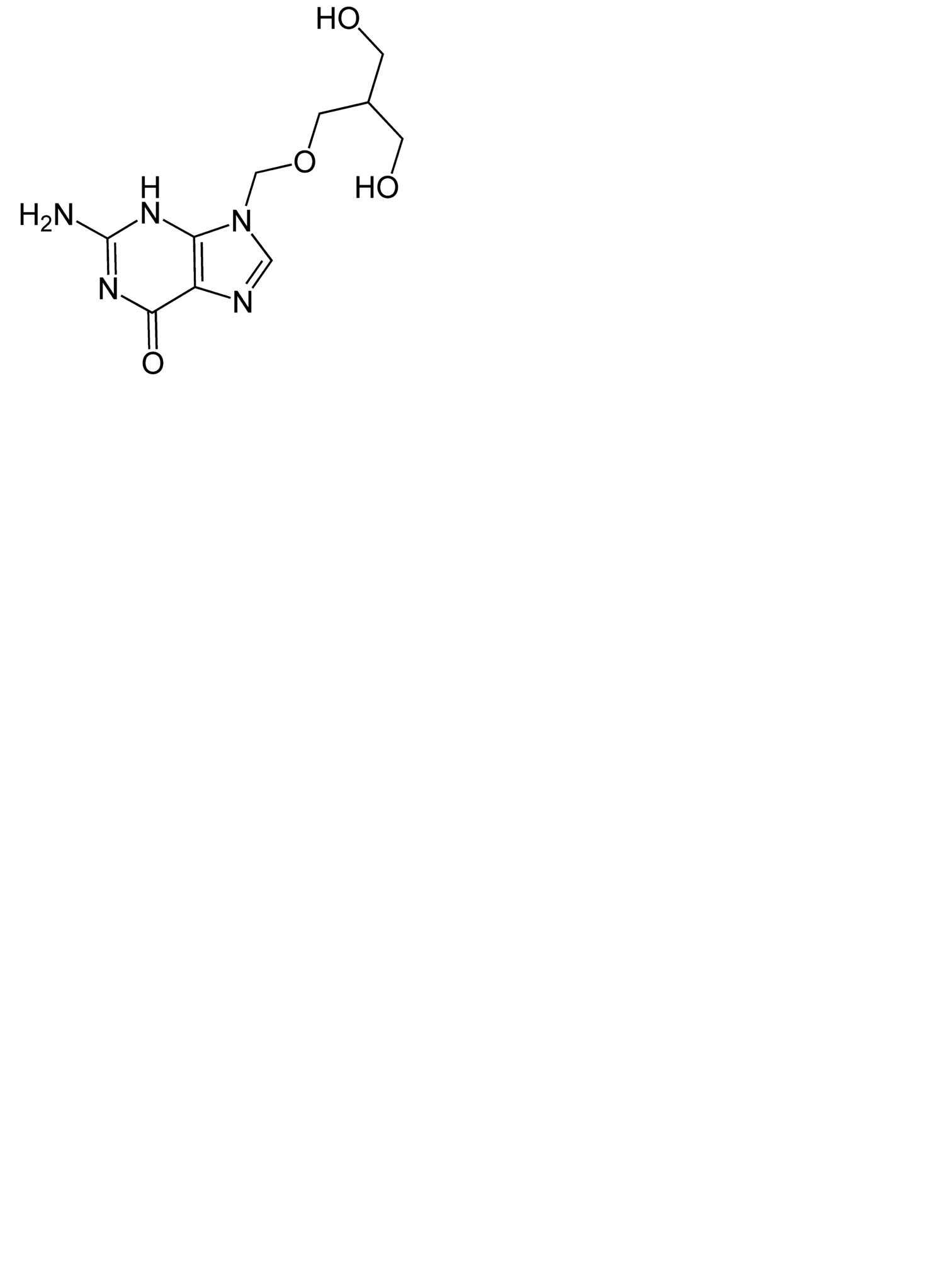
Priešvirusinis vaistas   Ganciclovir  
Akių lašai
Stabilumas farmacinių preparatų Mišinių stabilumas Stabilumą lemiantys veiksniai Suderinamumas Bibliografija pdf
   Cheminė sandara  

Akių lašai
Suderinamumas   Akių lašai   Suderinamumas : Ganciclovir              
Nėra duomenų

  Mentions Légales