Ultimele actualizari :
27/04/2026
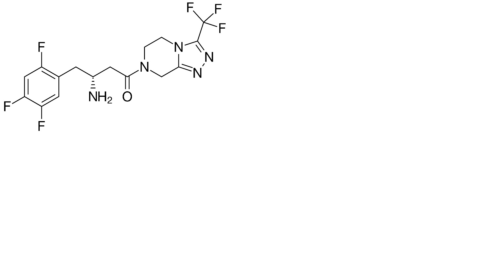
Hipoglicemiant   Sitagliptine phosphate  
Soluţie orală
Stabilitatea preparatelor farmaceutice Stabilitatea in amestec Factorii care influenteaza stabilitatea Compatibilitate Bibliografie pdf
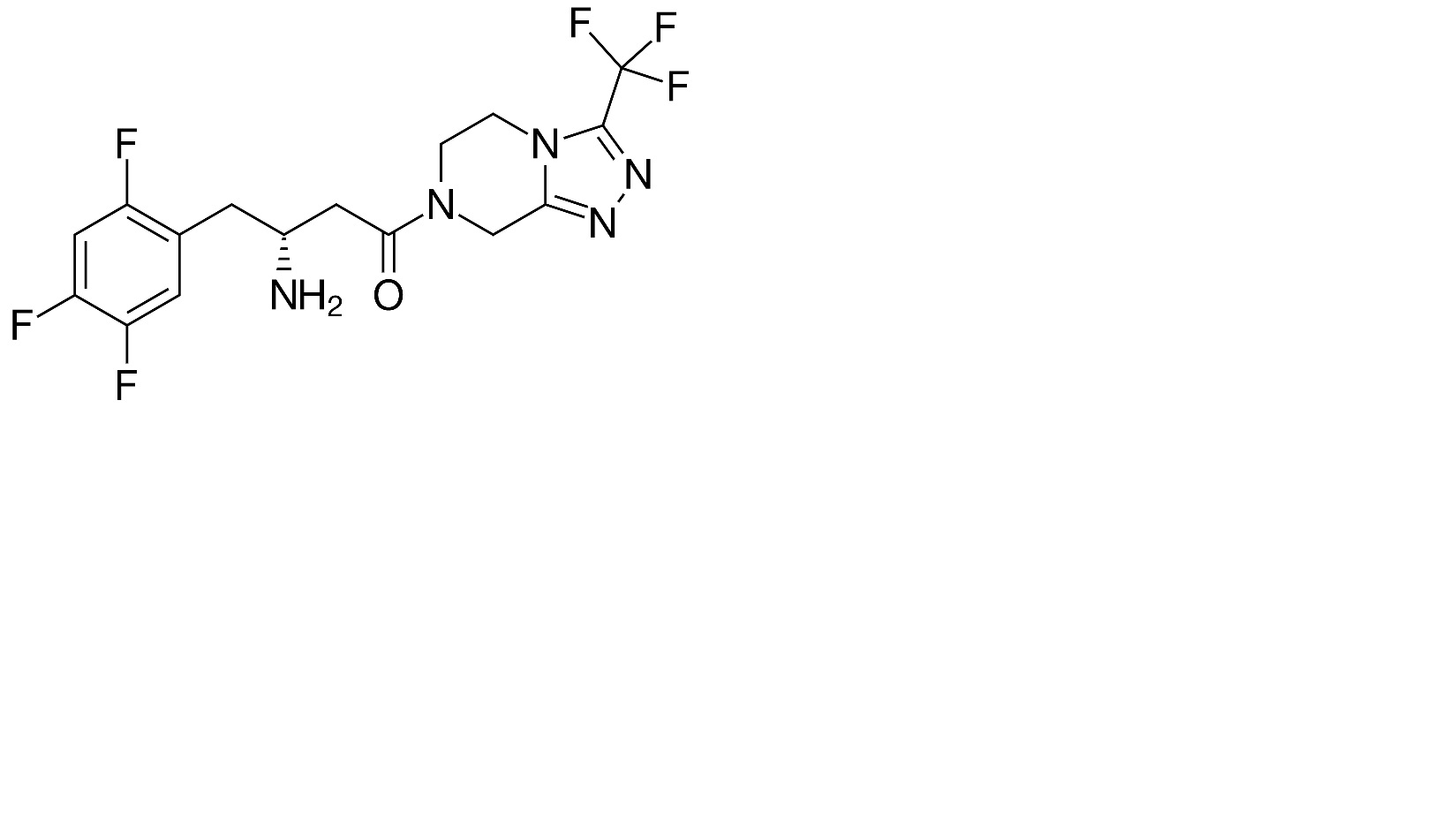
   Formula chimica  

Soluţie orală
Stabilitatea in amestec   Soluţie orală   Stabilitatea in amestec : Sitagliptine phosphate     
Absenta de date

  Mentions Légales