Utolsó frissítés :
27/04/2026
Glükózszint csökkentő   Sitagliptine phosphate  
belsőleges oldat
Stabilitása gyógyszerészeti készítmények A keverékek stabilitása Stabilitást befolyásoló tényezők Kompatibilitás Irodalom pdf
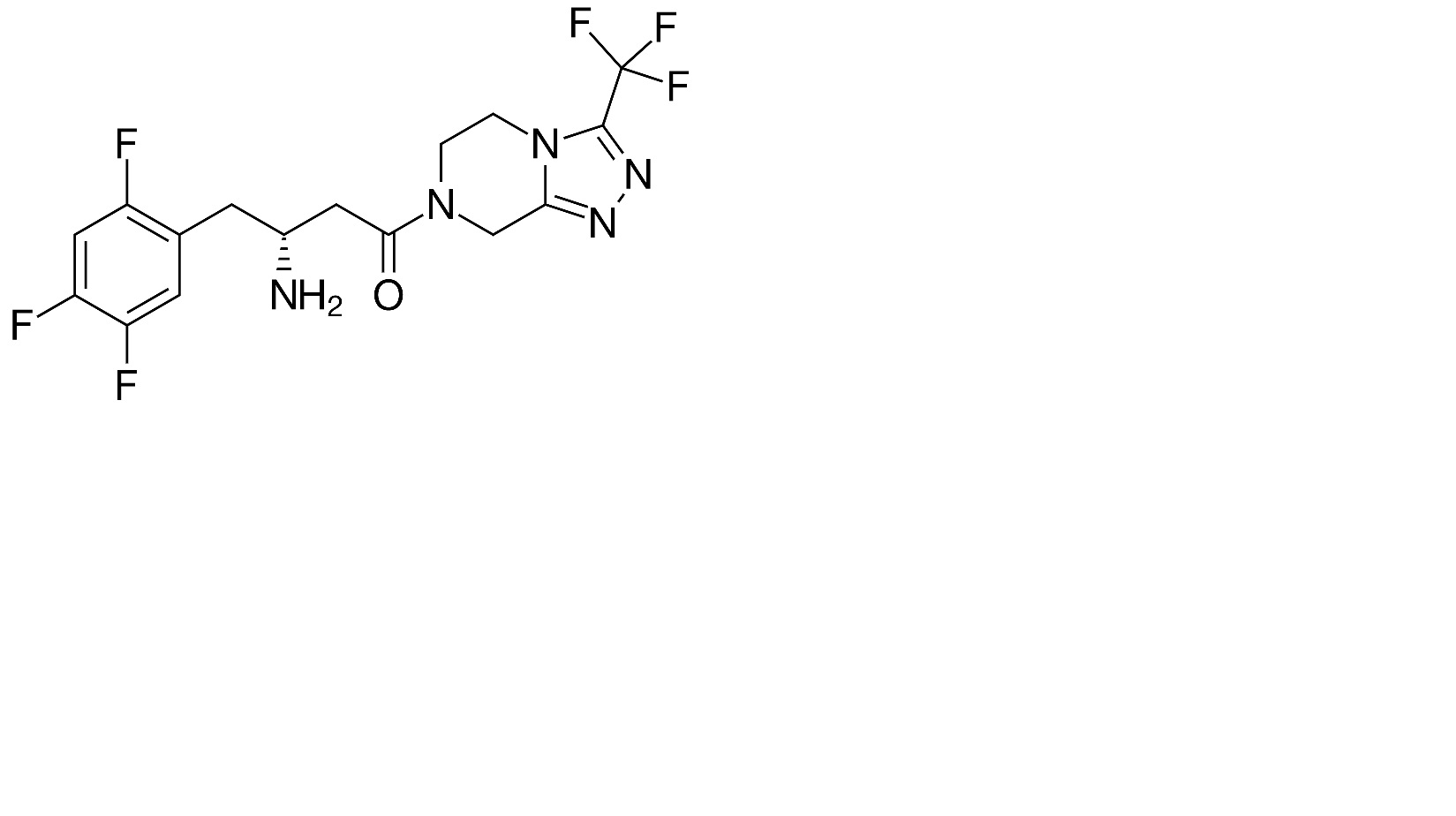
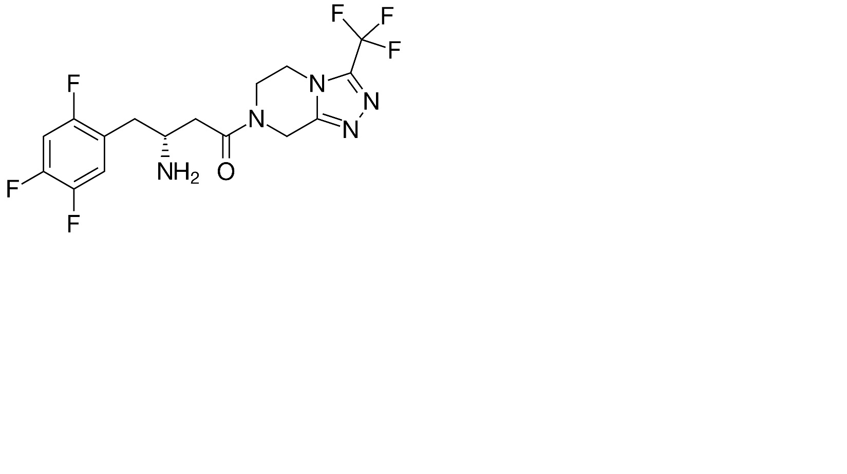
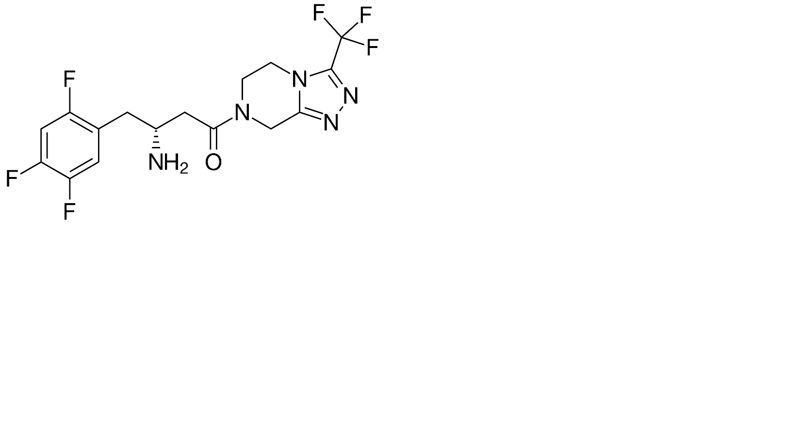
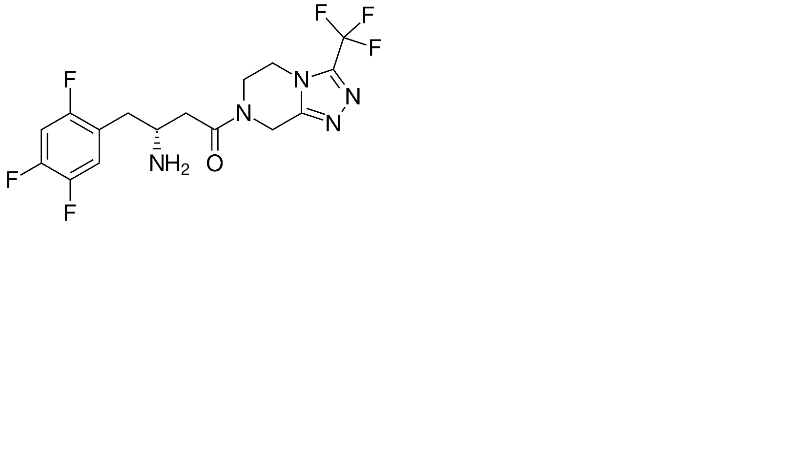
   Kémiai szerkezet   

belsőleges oldat
A keverékek stabilitása   belsőleges oldat   A keverékek stabilitása : Sitagliptine phosphate     
Hiányzó adat

  Mentions Légales