Ostatnia aktualizacja :
27/04/2026
Lek obniżający poziom cukru   Sitagliptine phosphate  
Roztwór doustny
Stabilność preparatów farmaceutycznych Trwałość w mieszaninie Czynnik wpływający na trwałość Zgodność Bibliografia pdf
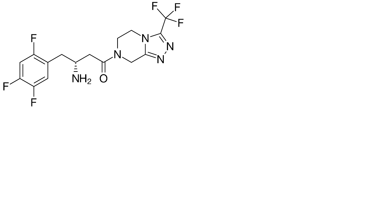
   Struktura chemiczna  

Roztwór doustny
Trwałość w mieszaninie   Roztwór doustny   Trwałość w mieszaninie : Sitagliptine phosphate     
Brak danych

  Mentions Légales