Последнее обновление :
27/11/2025
Средство, снижающее количество глюкозы   Sitagliptine phosphate  
Раствор для перорального приёма
Стабильность фармацевтических препаратов Стабильность смесей Факторы, которые влияют на стабильность Совместимость Библиография pdf
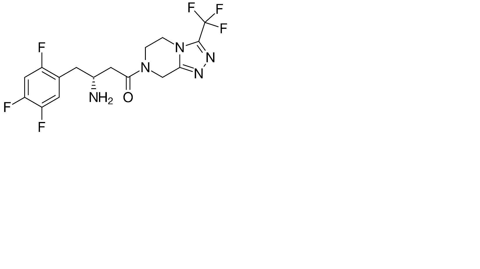
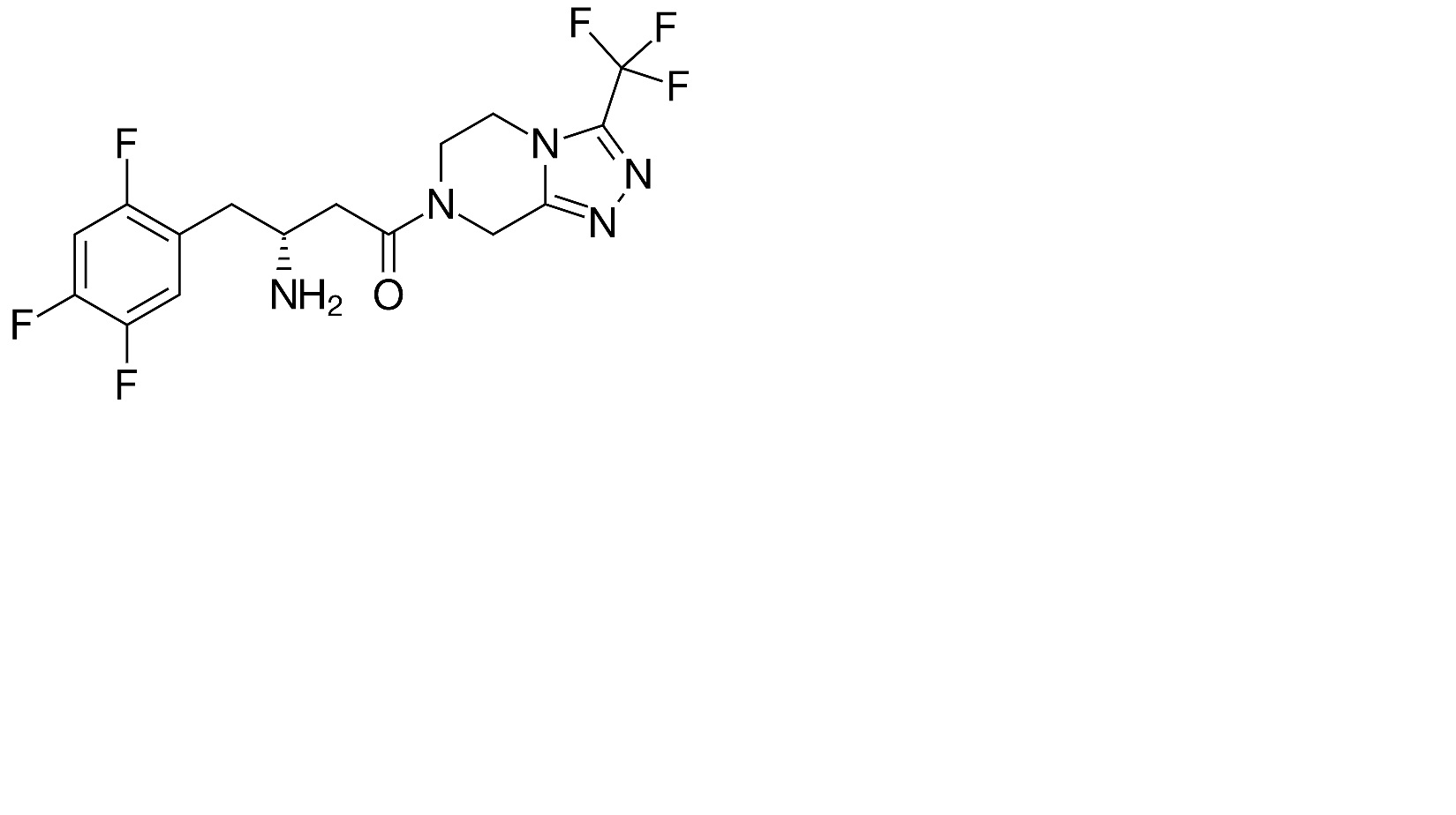
   Химическая структура  

Раствор для перорального приёма
Стабильность фармацевтических препаратов   Раствор для перорального приёма   Стабильность фармацевтических препаратов : Sitagliptine phosphate     
Упаковка Origine Наполнитель Температура Хранение Продолжительность стабильности Ссылки
Пластиковая бутылка Порошок 1 g
® = ?
Сорбитол 21,9 mL
Маннитол 2,2 g
Клубничный ароматизатор 625 mg
Очищенная вода >> 100 mL
22-28°C Не указано
40 День
4679
Пластиковая бутылка Порошок 1 g
® = ?
Сорбитол 21,9 mL
Маннитол 2,2 g
Клубничный ароматизатор 625 mg
Очищенная вода >> 100 mL
40°C Не указано
40 День
4679

  Mentions Légales