Последно актуализиране :
27/04/2026
Хипогликемичен агент   Sitagliptine phosphate  
Орален разтвор
Стабилност на лекарствени препарати Стабилност на смеси Фактори, повлияващи стабилността Съвместимост Библиография Pdf
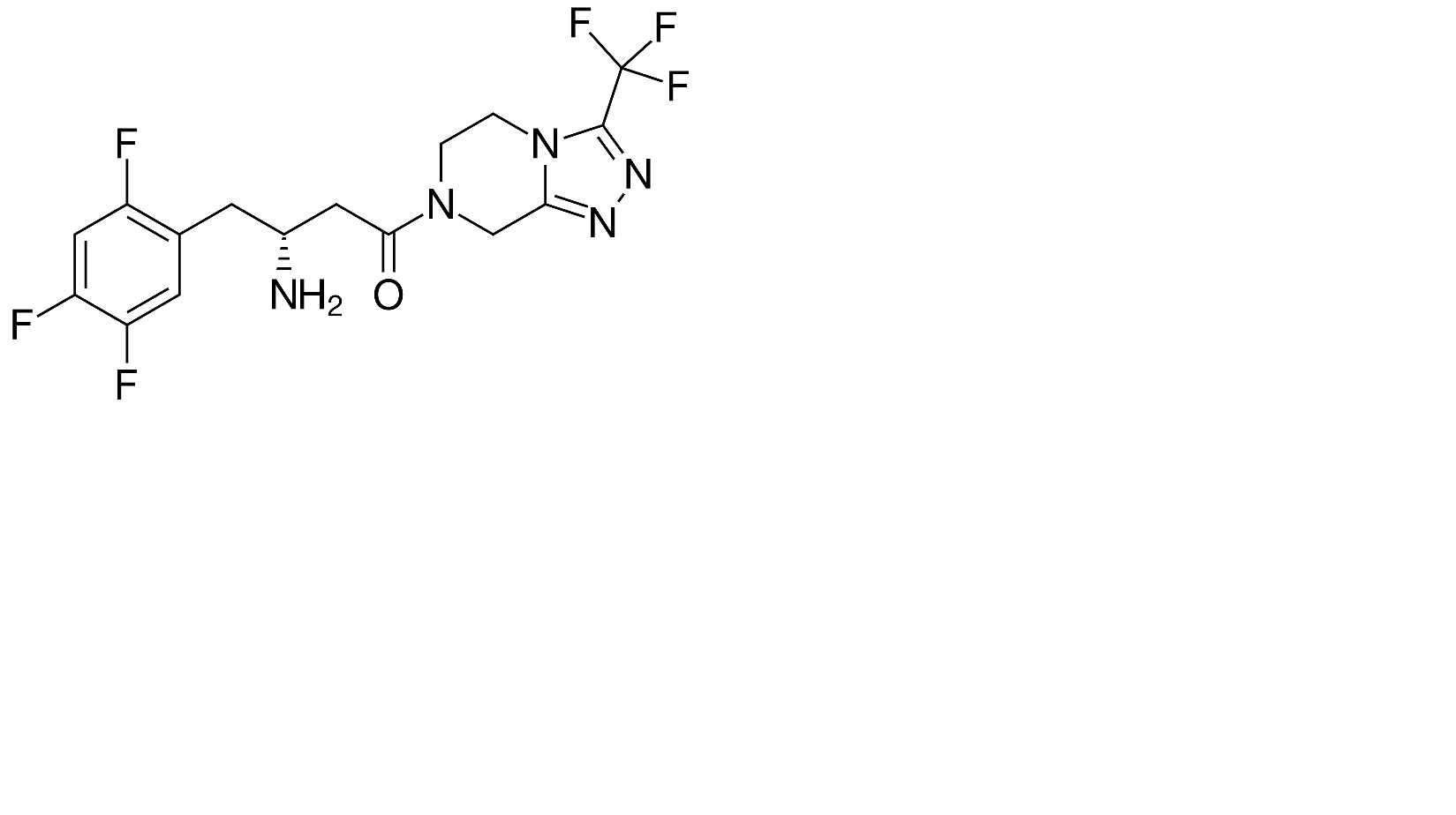
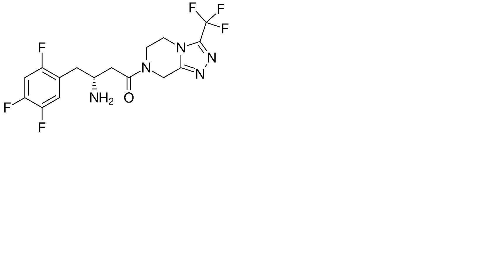
   Химична структура  

Орален разтвор
Стабилност на смеси   Орален разтвор   Стабилност на смеси : Sitagliptine phosphate     
Няма данни

  Mentions Légales