Последнее обновление :
17/12/2025
Средство, снижающее количество глюкозы   Sitagliptine phosphate  
Раствор для перорального приёма
Стабильность фармацевтических препаратов Стабильность смесей Факторы, которые влияют на стабильность Совместимость Библиография pdf
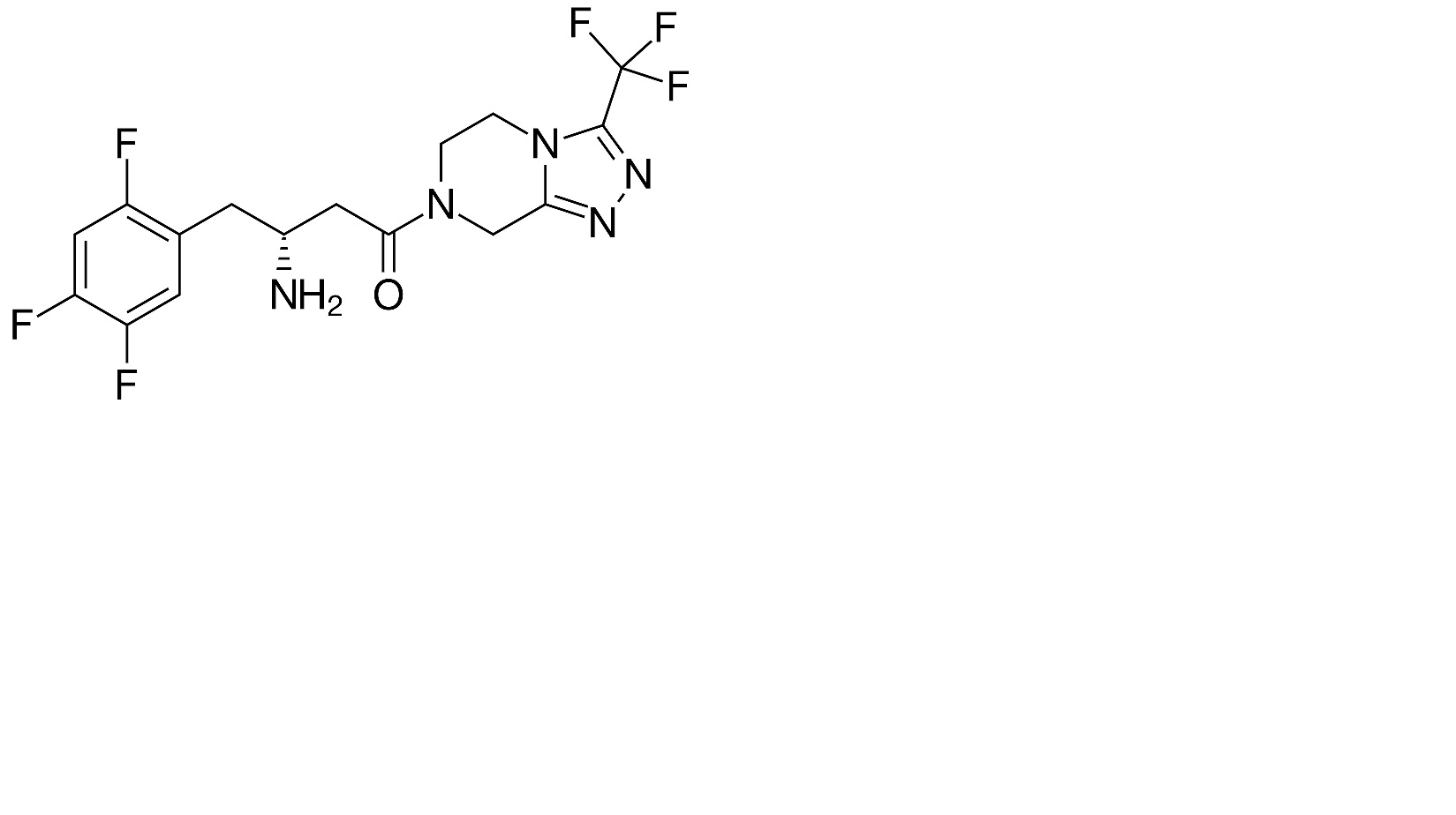
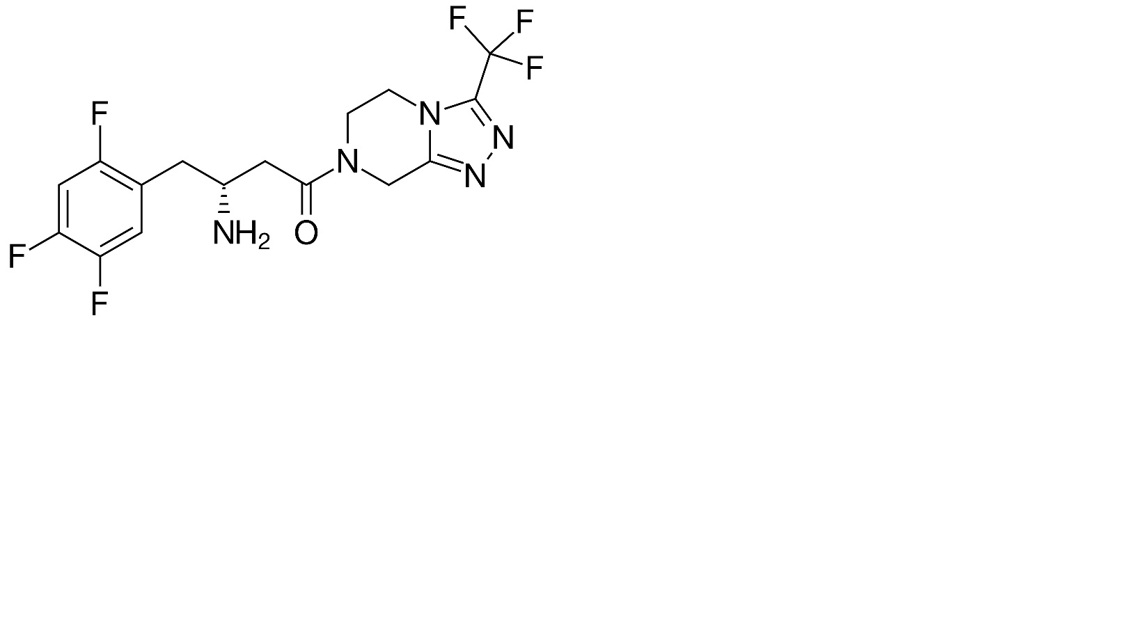
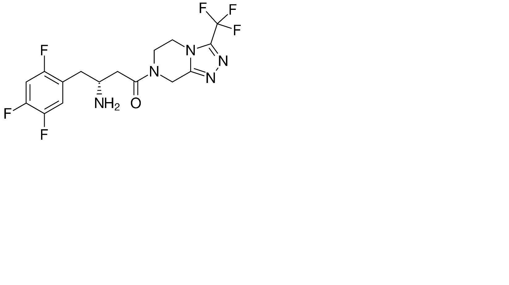
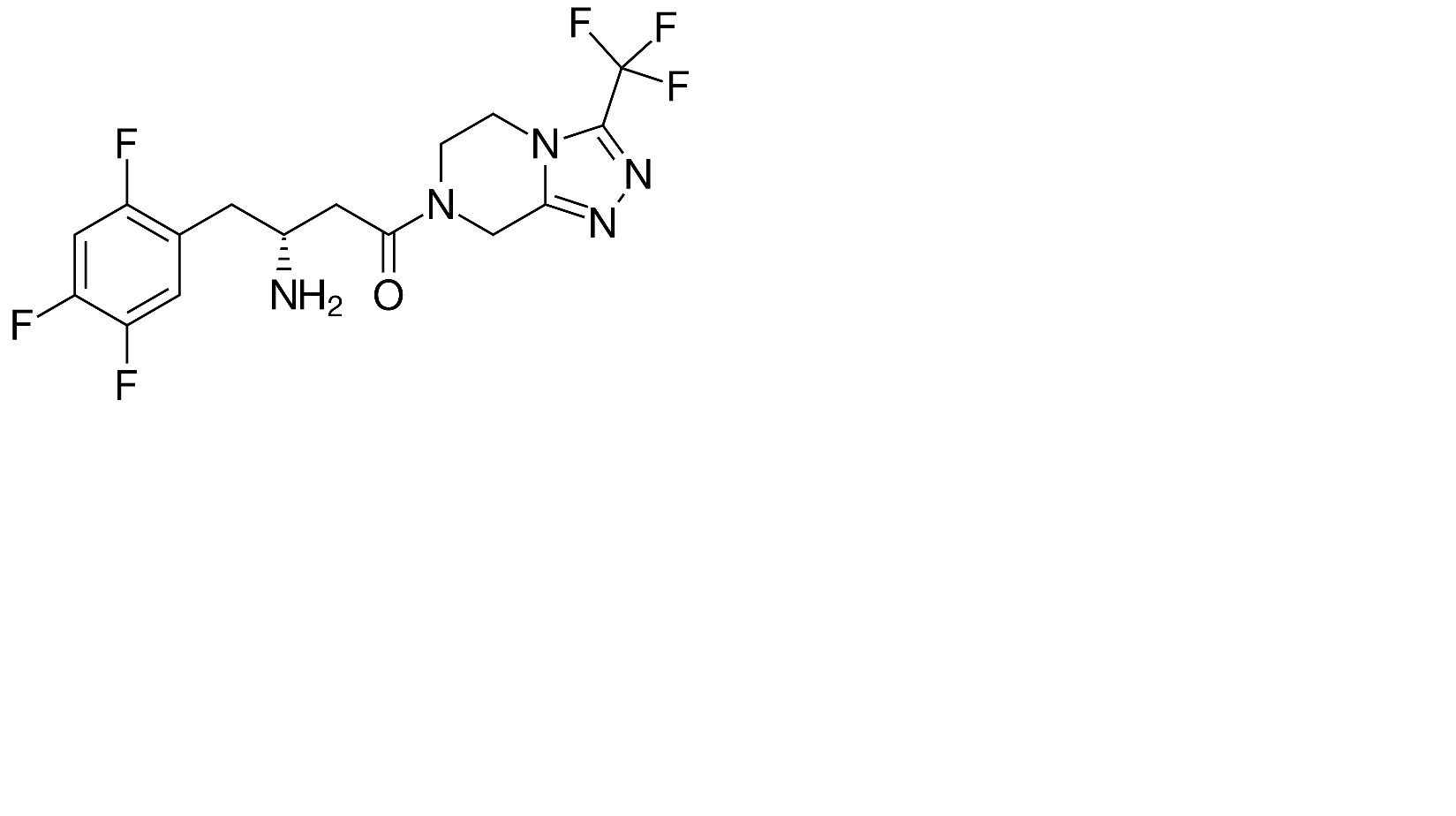
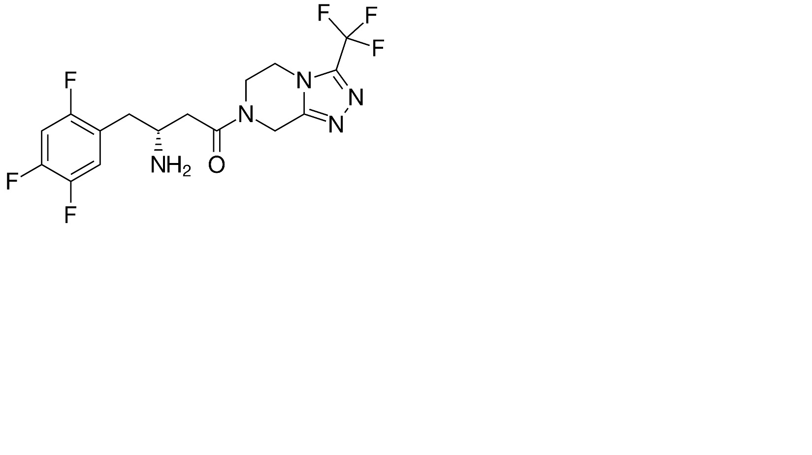
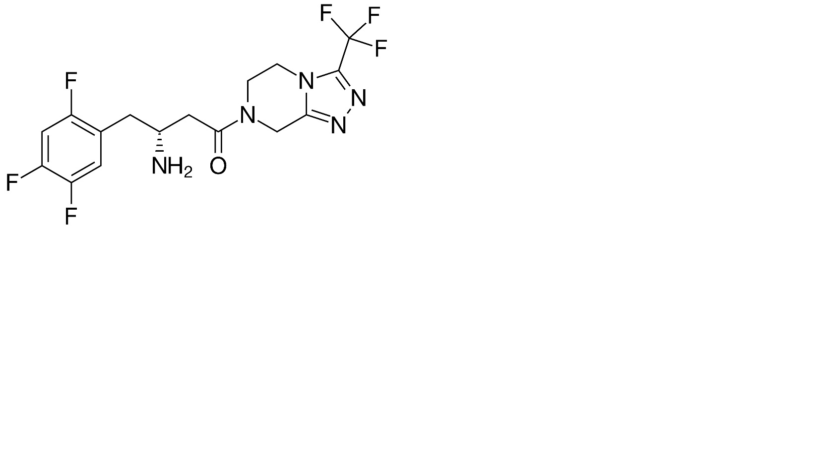
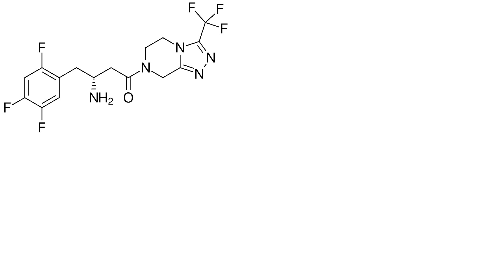
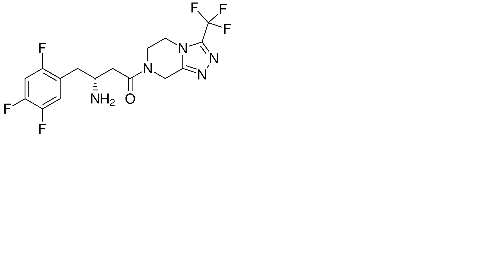
   Химическая структура  

Раствор для перорального приёма
Совместимость   Раствор для перорального приёма   Совместимость : Sitagliptine phosphate              
данных нет

  Mentions Légales