آخر تحديث :
27/04/2026
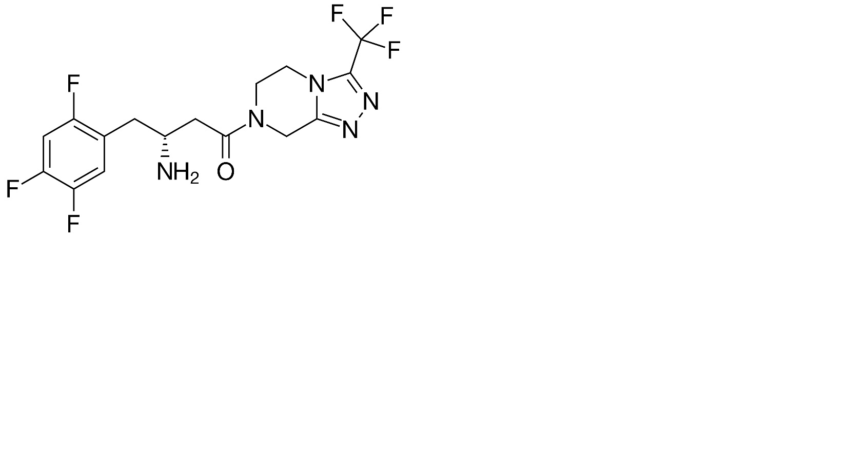
خافض الجلوكوز   Sitagliptine phosphate  
عن طريق الفم
استقرار المستحضرات الصيدلانية استقرار مخاليط العوامل التي تؤثر على الاستقرار التوافق مراجع pdf
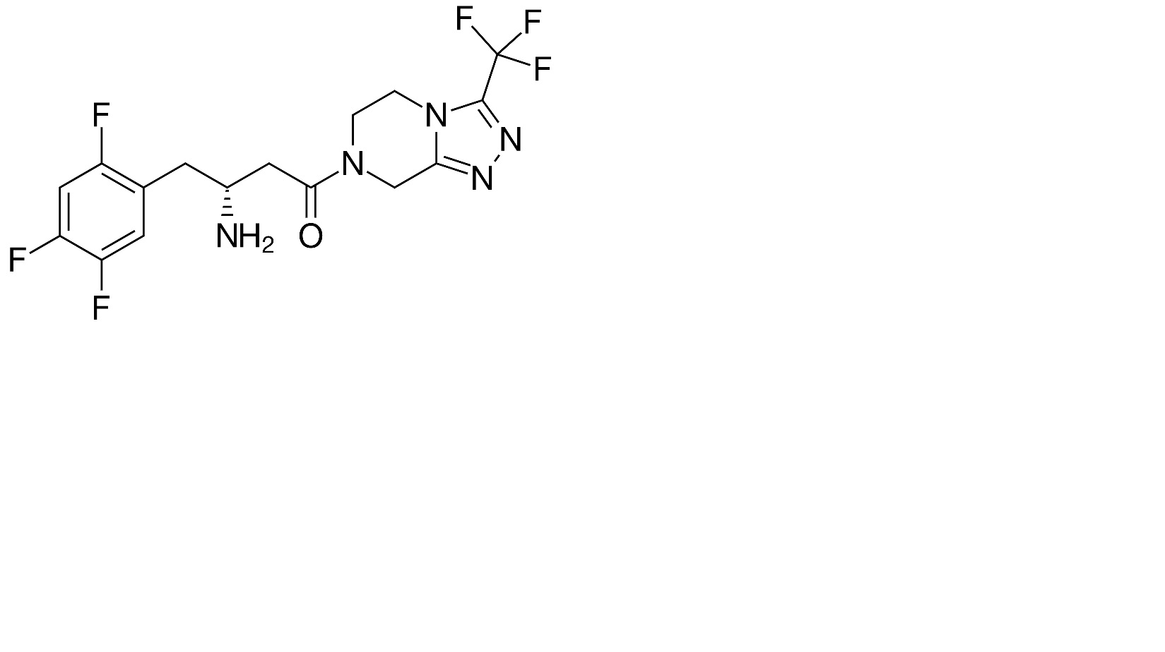
   التركيب الكيميائي  

عن طريق الفم
استقرار مخاليط   عن طريق الفم     استقرار مخاليط : Sitagliptine phosphate     
لا توجد بيانات

  Mentions Légales