Viimeisin päivitys :
27/04/2026
Glukoosia alentavat lääkkeet   Sitagliptine phosphate  
Oraaliliuos
Vakaus lääkevalmisteen Stabilius seoksissa Tekijät, jotka vaikuttavat stabiliuteen Yhteensopivuus Viitteet pdf
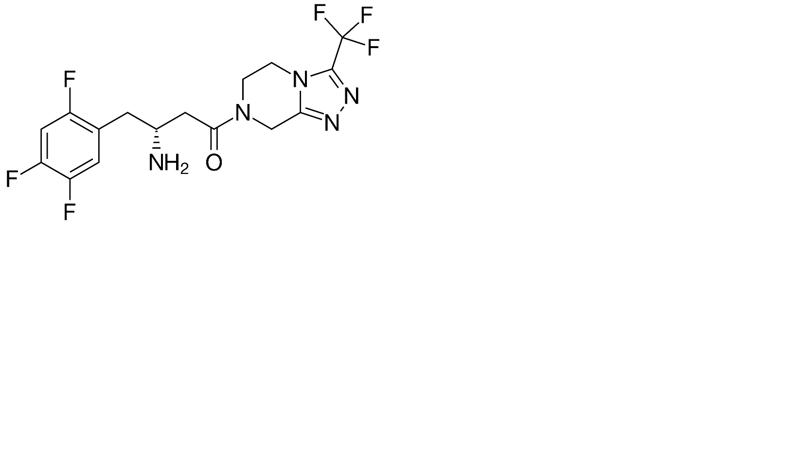
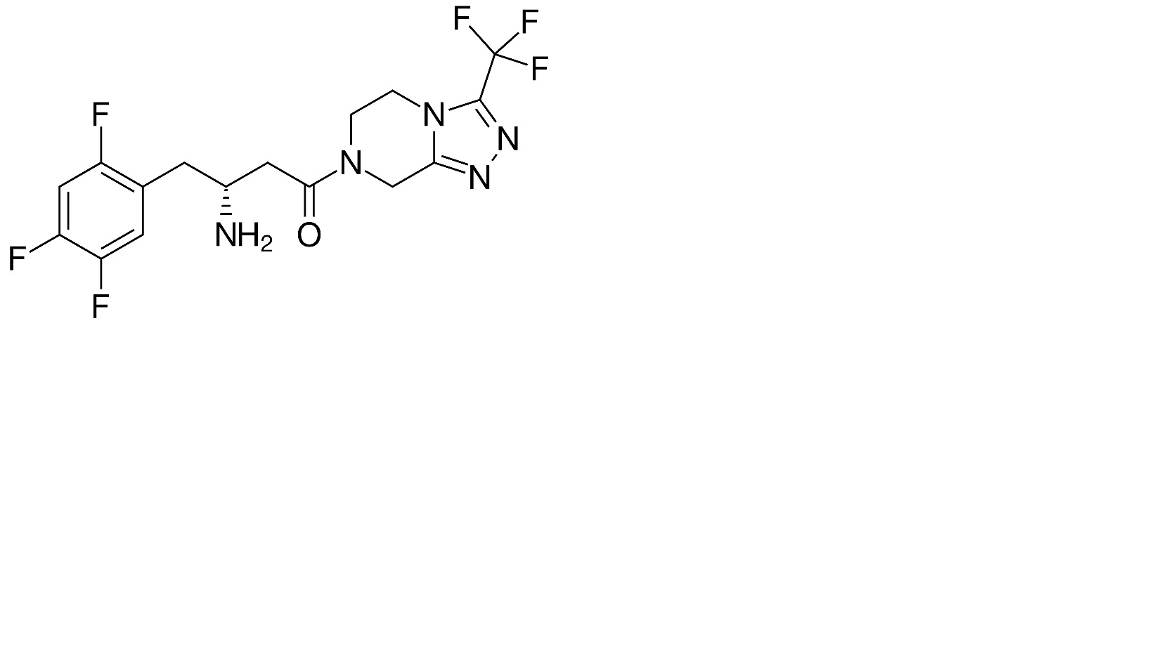
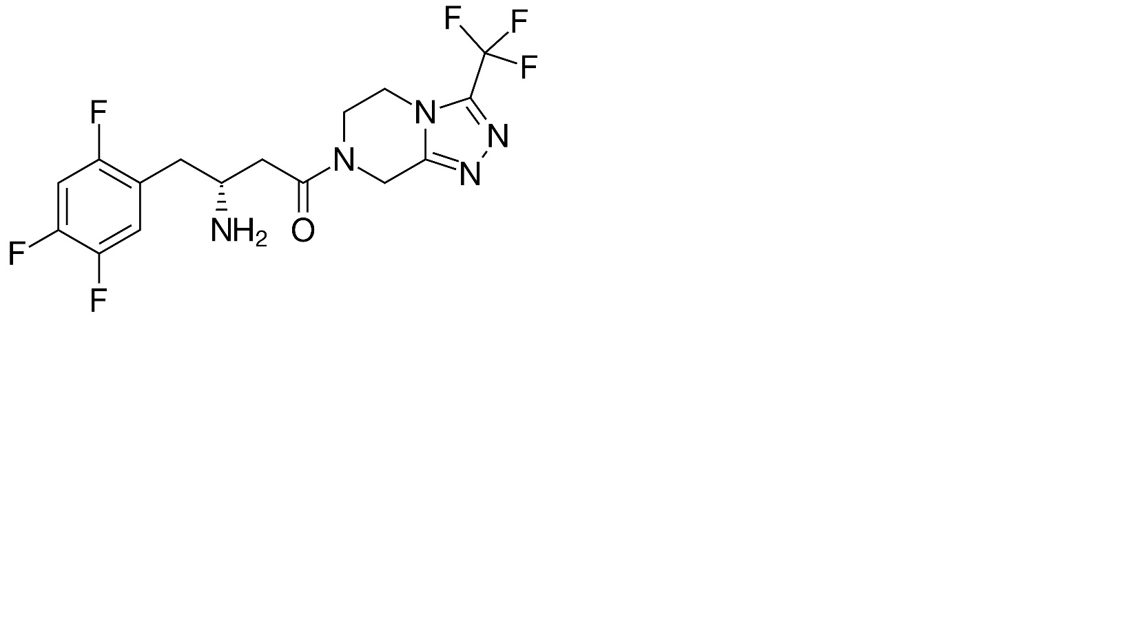
   Kemiallinen rakenne  

Oraaliliuos
Stabilius seoksissa   Oraaliliuos   Stabilius seoksissa : Sitagliptine phosphate     
ei tietoa

  Mentions Légales