Last update :
27/11/2025
Glucose-lowering   Sitagliptine phosphate  
Oral solution
Stability of pharmaceutical preparations Stability of mixtures Factors which affect stability Compatibility References pdf
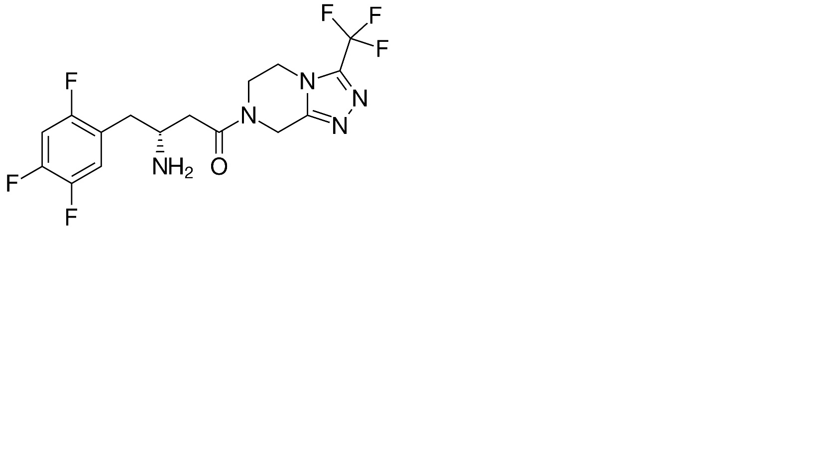
   Chemical structure  

Oral solution
Stability of mixtures   Oral solution   Stability of mixtures : Sitagliptine phosphate     
No data

  Mentions Légales