Poslední aktualizace :
27/04/2026
Látka snižující glukózu   Sitagliptine phosphate  
Perorální roztok
Stabilita farmaceutických přípravků Stabilita směsí Faktory ovlivňující stabilitu Kompatibilita Odkazy pdf
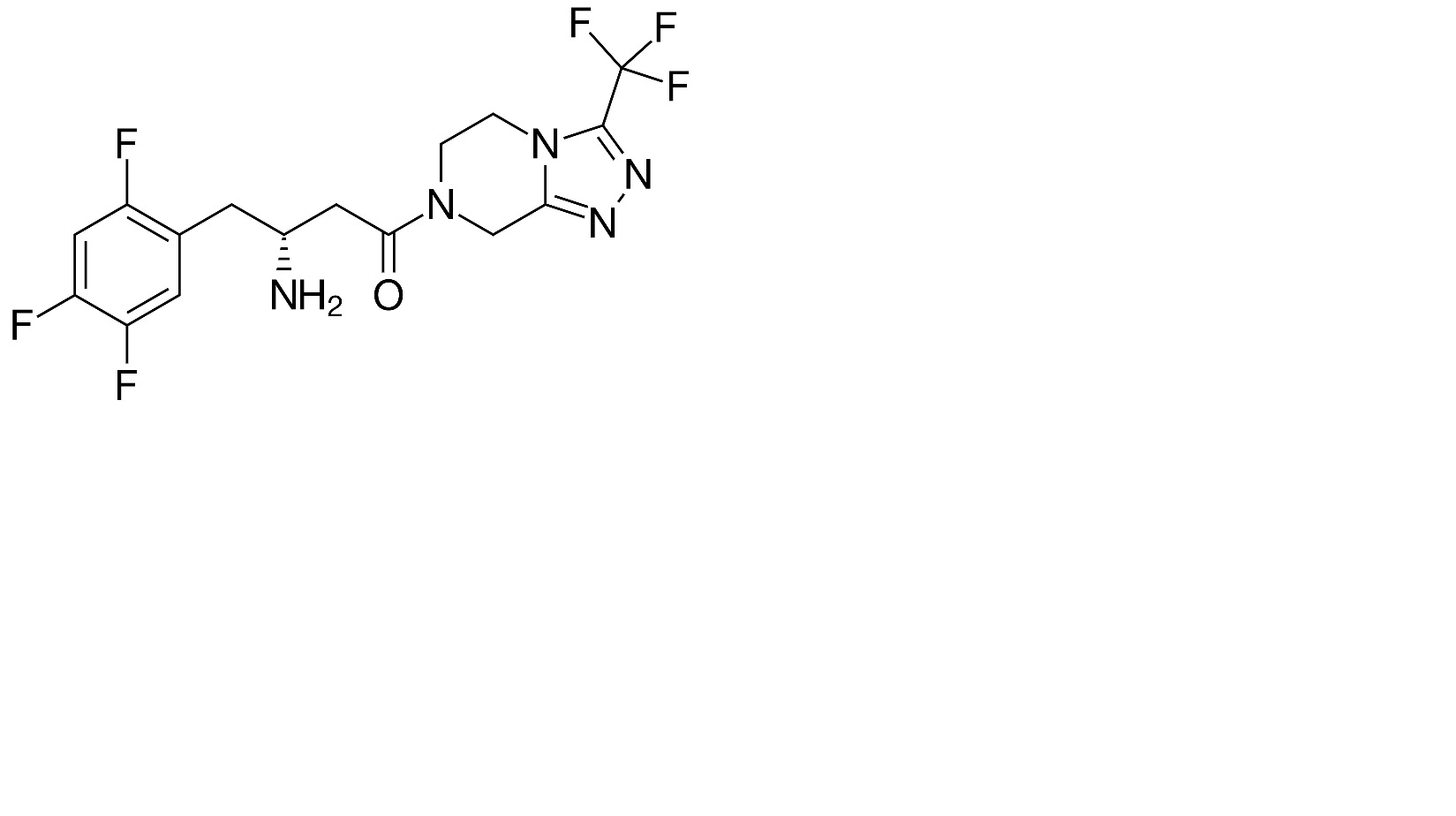
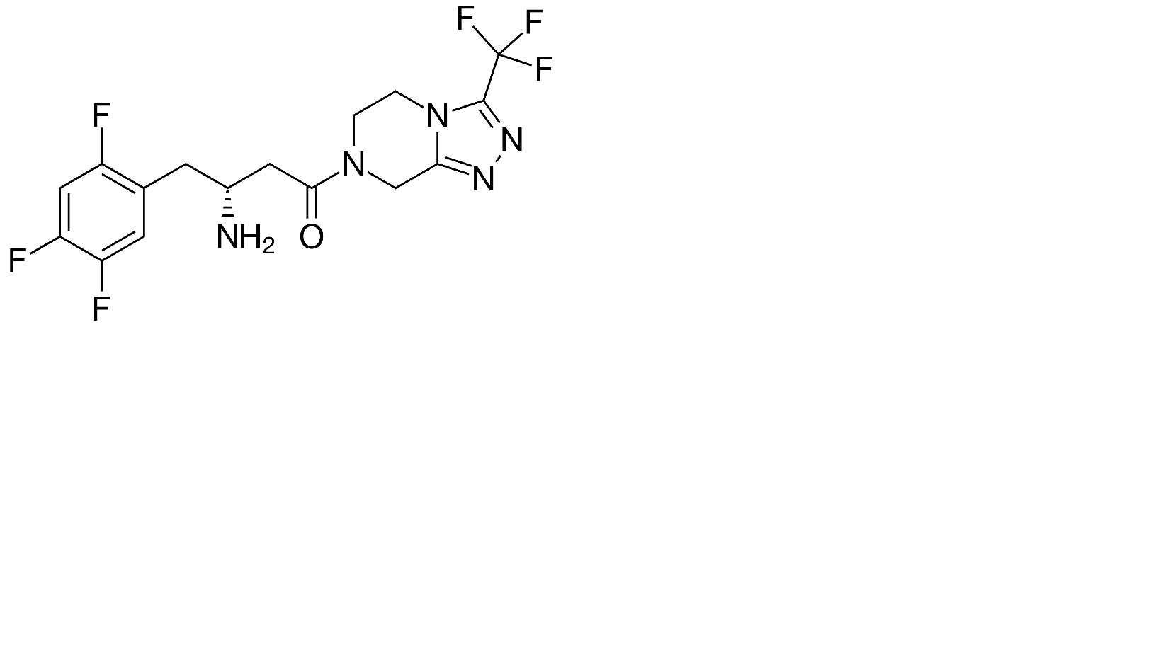
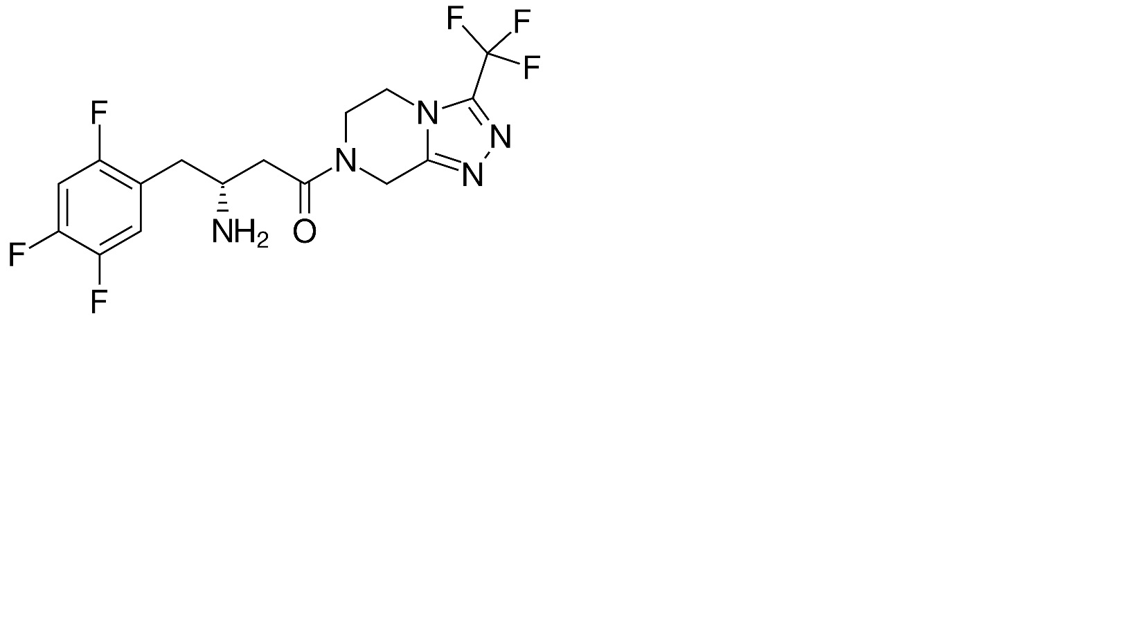
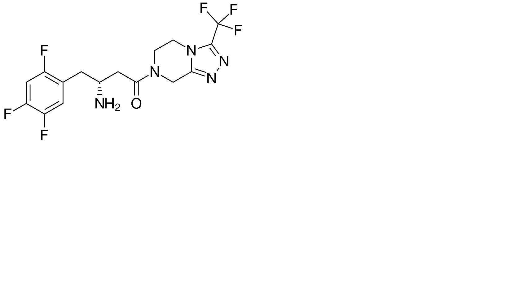
   Chemický vzorec  

Perorální roztok
Stabilita směsí   Perorální roztok   Stabilita směsí : Sitagliptine phosphate     
žádná data

  Mentions Légales