Zadnji put ažurirano :
27/11/2025
hipoglikemici   Sitagliptine phosphate  
oralna otopina
Stabilnost farmaceutskih pripravaka Stabilnost mješavine Stabilizacijski faktor Kompatibilnosti Bibliografija pdf
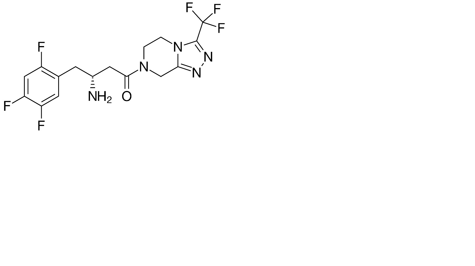
   Kemijska struktura  

oralna otopina
Stabilnost mješavine   oralna otopina     Stabilnost mješavine : Sitagliptine phosphate     
bez podataka

  Mentions Légales