viimane versioon :
27/04/2026
Hüpoglükeemiline ravim   Sitagliptine phosphate  
suukaudne lahus
Stabiilsust ravimpreparaadid Stabiilsust mõjutavad tegurid stabiilsust mõjutavad faktorid Sobimatus Viited pdf
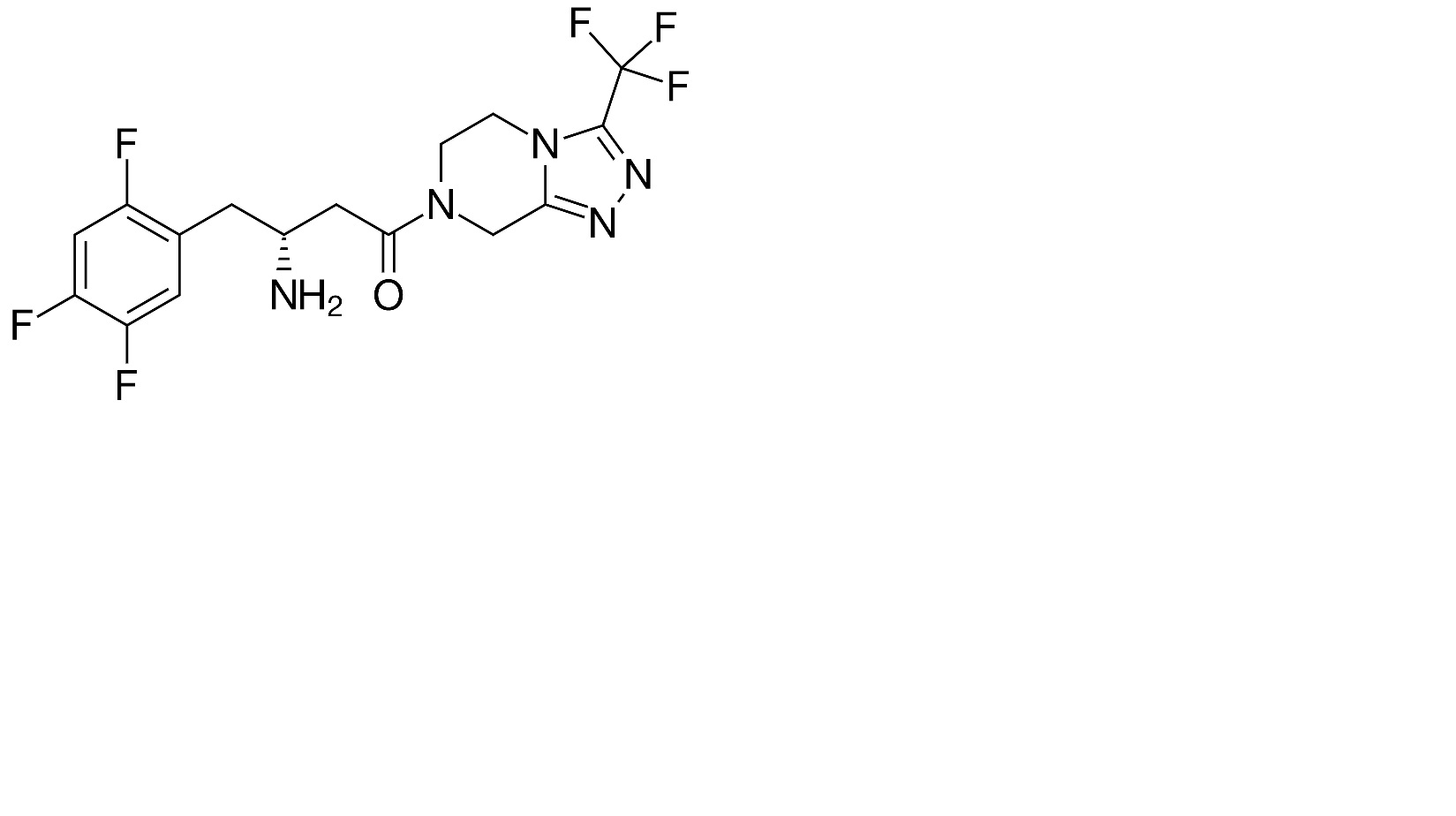
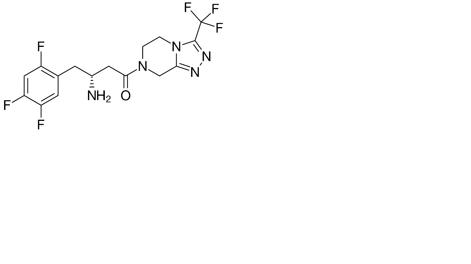
   keemiline struktuur  

suukaudne lahus
Stabiilsust mõjutavad tegurid   suukaudne lahus   Stabiilsust mõjutavad tegurid : Sitagliptine phosphate     
andmed puuduvad

  Mentions Légales