Ultimele actualizari :
27/11/2025
Citostatic   Cyclophosphamide  
Capsulă
Injectabil Soluţie orală
Stabilitatea preparatelor farmaceutice Stabilitatea in amestec Factorii care influenteaza stabilitatea Compatibilitate Bibliografie pdf
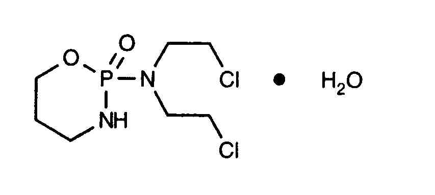
   Formula chimica  

Capsulă
Stabilitatea in amestec   Capsulă   Stabilitatea in amestec : Cyclophosphamide     
Absenta de date

  Mentions Légales