Poslední aktualizace :
18/03/2026
vėžio narkotikų   Cyclophosphamide  
Kapsulė
Geriamas tirpalas Įpurškimas
Stabilumas farmacinių preparatų Mišinių stabilumas Stabilumą lemiantys veiksniai Suderinamumas Bibliografija pdf
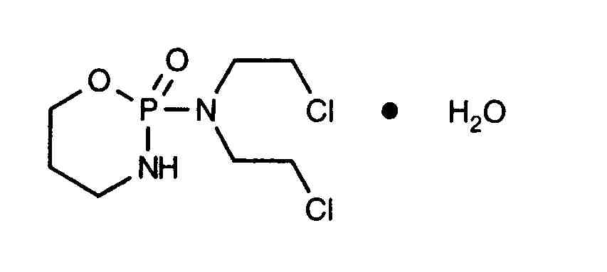
   Cheminė sandara  

Kapsulė
Mišinių stabilumas   Kapsulė   Mišinių stabilumas : Cyclophosphamide     
Nėra duomenų

  Mentions Légales