Viimeisin päivitys :
18/03/2026
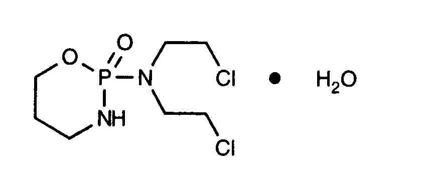
syöpälääke   Cyclophosphamide  
Kapseli
Injektioneste Oraaliliuos
Vakaus lääkevalmisteen Stabilius seoksissa Tekijät, jotka vaikuttavat stabiliuteen Yhteensopivuus Viitteet pdf
   Kemiallinen rakenne  

Kapseli
Stabilius seoksissa   Kapseli   Stabilius seoksissa : Cyclophosphamide     
ei tietoa

  Mentions Légales