آخر تحديث :
18/03/2026
المضادة للسرطان المخدرات   Cyclophosphamide  
كبسولة
حقن عن طريق الفم
استقرار المستحضرات الصيدلانية استقرار مخاليط العوامل التي تؤثر على الاستقرار التوافق مراجع pdf
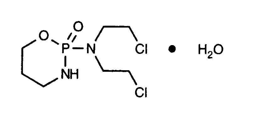
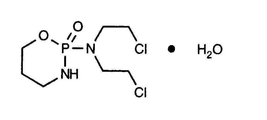
   التركيب الكيميائي  

كبسولة
استقرار مخاليط   كبسولة   استقرار مخاليط : Cyclophosphamide     
لا توجد بيانات

  Mentions Légales