Zadnji put ažurirano :
18/03/2026
lijek protiv karcinoma   Cyclophosphamide  
kapsula
injekcija oralna otopina
Stabilnost farmaceutskih pripravaka Stabilnost mješavine Stabilizacijski faktor Kompatibilnosti Bibliografija pdf
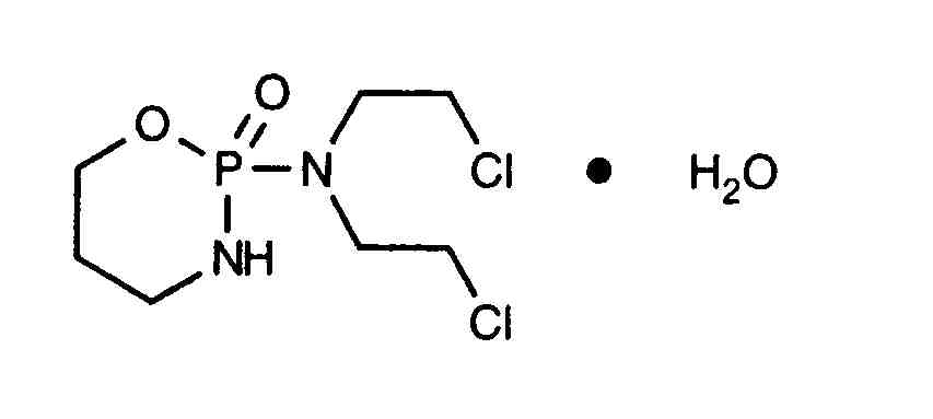
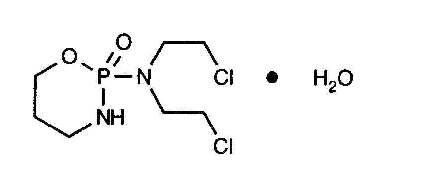
   Kemijska struktura  

kapsula
Stabilnost mješavine   kapsula   Stabilnost mješavine : Cyclophosphamide     
bez podataka

  Mentions Légales