Utolsó frissítés :
18/03/2026
rákellenes gyógyszer   Cyclophosphamide  
kapszula
belsőleges oldat Injekció
Stabilitása gyógyszerészeti készítmények A keverékek stabilitása Stabilitást befolyásoló tényezők Kompatibilitás Irodalom pdf
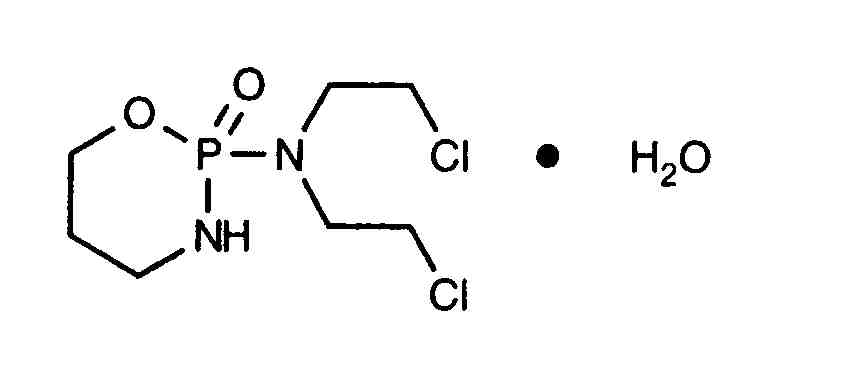
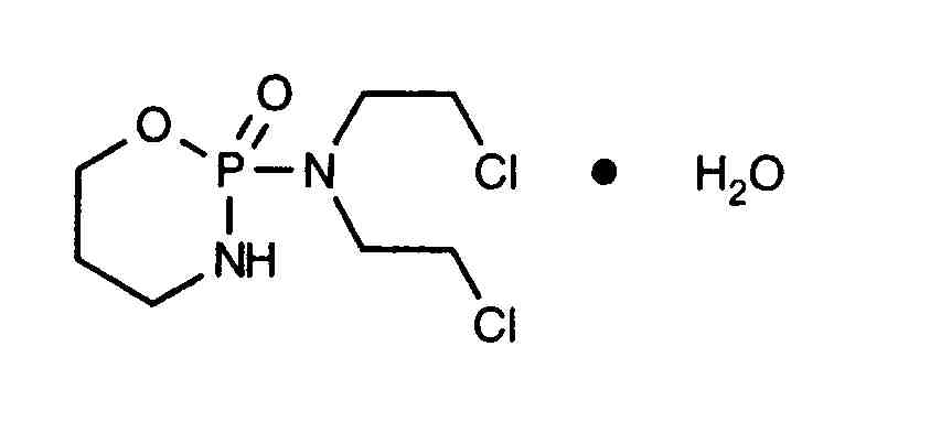
   Kémiai szerkezet   

kapszula
A keverékek stabilitása   kapszula   A keverékek stabilitása : Cyclophosphamide     
Hiányzó adat

  Mentions Légales