Останнє оновлення :
27/11/2025
Протипухлинний препарат   Cyclophosphamide  
капсула
ін'єкція Розчин для перорального застосування
Стабільність фармацевтичних препаратів Стійкість сумішей Фактори, що впливають на стабільність Сумісність Список літератури pdf
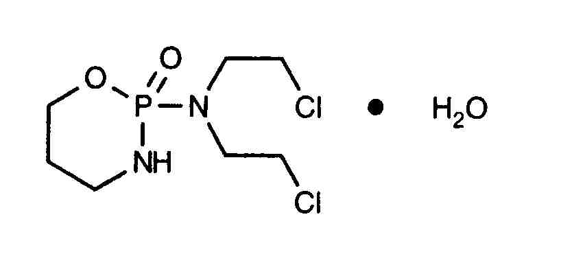
   Хімічна структура  

капсула
Стійкість сумішей   капсула   Стійкість сумішей : Cyclophosphamide     
7 / 5 000 Résultats de traduction Немає даних

  Mentions Légales