viimane versioon :
18/03/2026
vähiravimite   Cyclophosphamide  
kapsel
Süsteravim suukaudne lahus
Stabiilsust ravimpreparaadid Stabiilsust mõjutavad tegurid stabiilsust mõjutavad faktorid Sobimatus Viited pdf
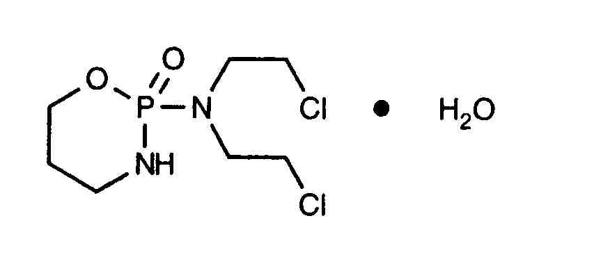
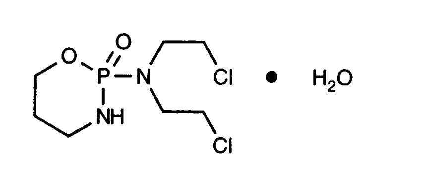
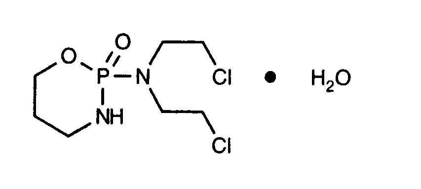
   keemiline struktuur  

kapsel
Stabiilsust mõjutavad tegurid   kapsel   Stabiilsust mõjutavad tegurid : Cyclophosphamide     
andmed puuduvad

  Mentions Légales