Siste oppdatering :
27/11/2025
kreft narkotika   Cyclophosphamide  
Kapsel
Injeksjon Mikstur
Stabilitet av farmasøytiske preparater Stabilitet i blandinger Faktorer som påvirker stabiliteten Kompatibilitet Referanser pdf
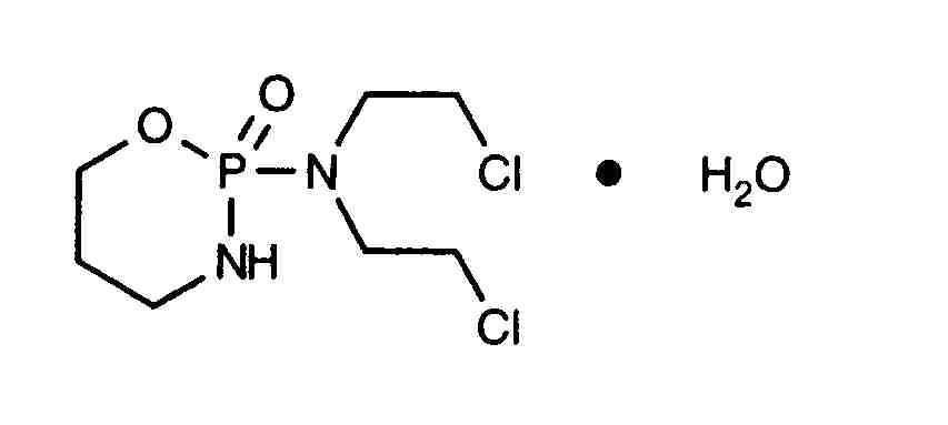
   Kjemisk struktur  

Kapsel
Stabilitet i blandinger   Kapsel   Stabilitet i blandinger : Cyclophosphamide     
Ingen opplysninger

  Mentions Légales