Senaste uppdateringen :
18/03/2026
cancerläkemedel   Cyclophosphamide  
Kapsel
injektion Oral lösning
Stabilitet av läkemedel Stabilitet i blandningar Faktorer som påverkar stabiliteten Kompatibilitet Hänvisningar pdf
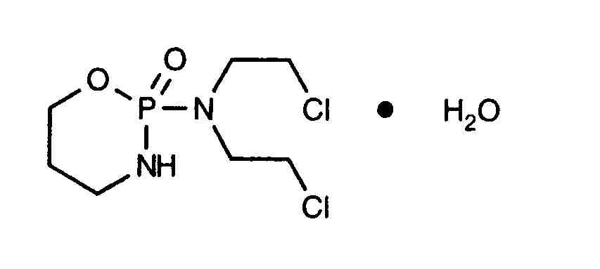
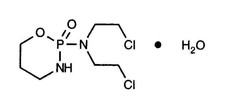
   Molekylstruktur  

Kapsel
Stabilitet i blandningar   Kapsel   Stabilitet i blandningar : Cyclophosphamide     
Ingen uppgift

  Mentions Légales