Останнє оновлення :
18/03/2026
Протигрибковий   Amphotericin B  
ін'єкція
аерозоль Ополіскувач ротової порожнини Очні краплі Розчин для перорального застосування
Стійкість в розчинах Стійкість сумішей Фактори, що впливають на стабільність Сумісність Шлях введення Список літератури pdf
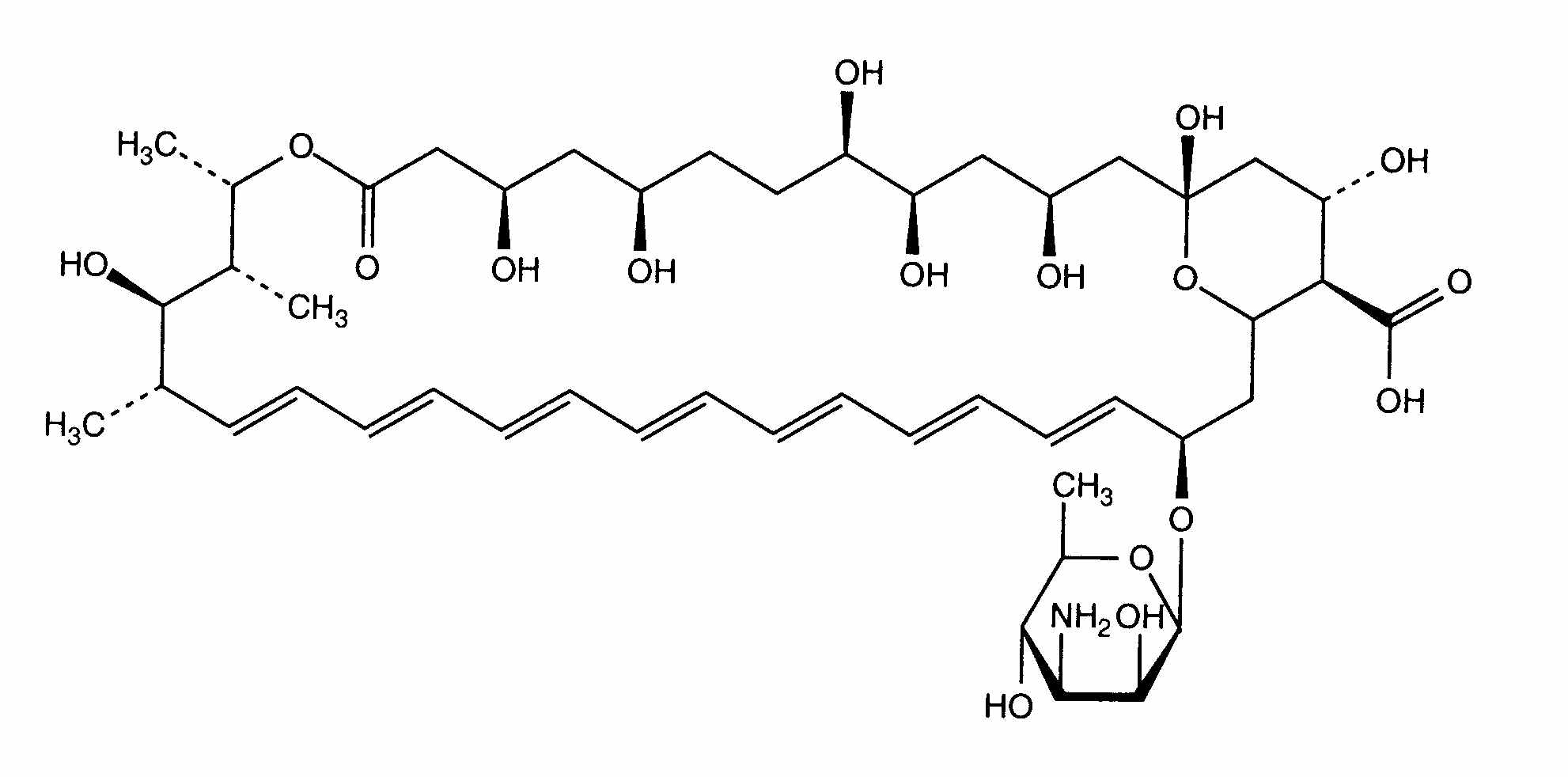
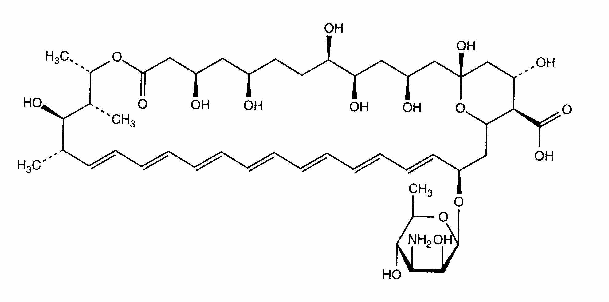
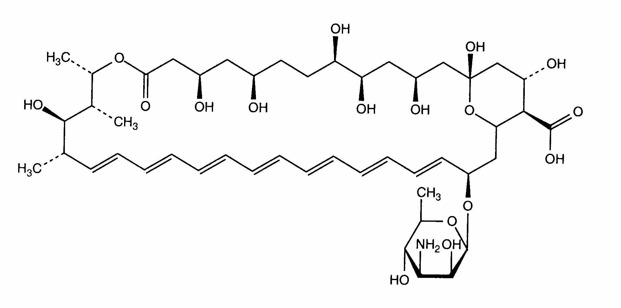
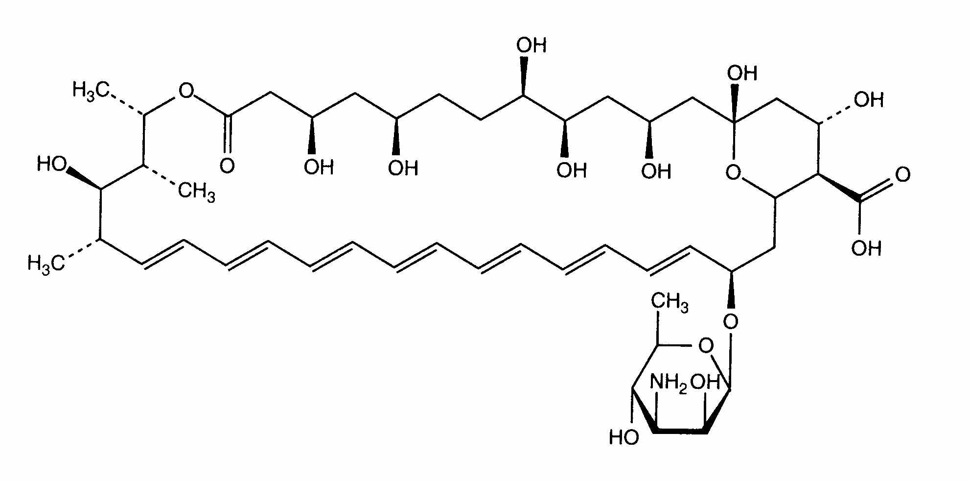
   Хімічна структура  

Торгова назва   Торгова назва     

Торгові назви є орієнтовними, а склад допоміжних речовин може бути різним залежно від країни та виробника

Fungizone Індія, Іран, Ірландія, Італія, Великобританія, Венесуела, Греція, Данія, Канада, Колумбія, Малайзія, Марокко, Нідерланди, Німеччина, Нова Зеландія, Португалія, Сполучені Штати Америки, Туніс, Туреччина, Угорщина, Фінляндія, Франція, Швейцарія, Швеція
Стійкість сумішей   ін'єкція   Стійкість сумішей : Amphotericin B     
7 / 5 000 Résultats de traduction Немає даних

  Mentions Légales