Utolsó frissítés :
18/03/2026
Gombaellenes szer   Amphotericin B  
Injekció
aeroszol belsőleges oldat Szájvíz Szemcsepp
Az oldatok stabilitása A keverékek stabilitása Stabilitást befolyásoló tényezők Kompatibilitás Az alkalmazás módja Irodalom pdf
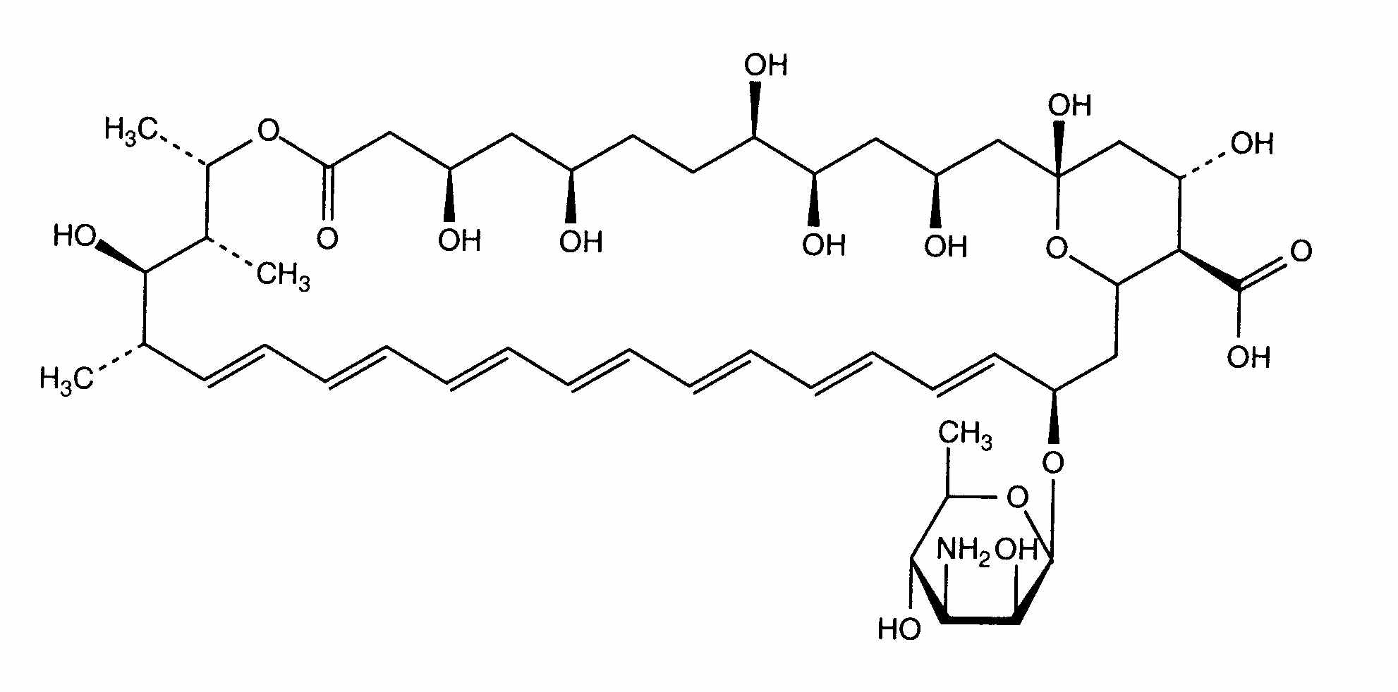
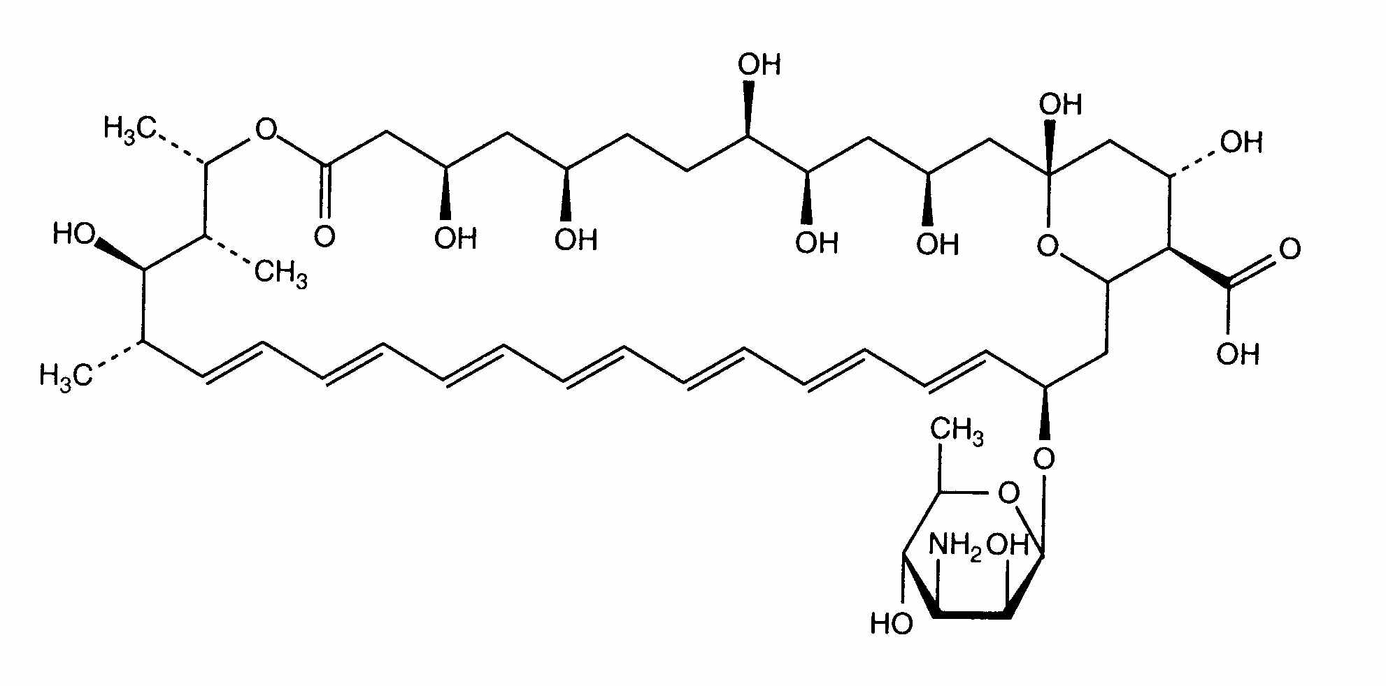
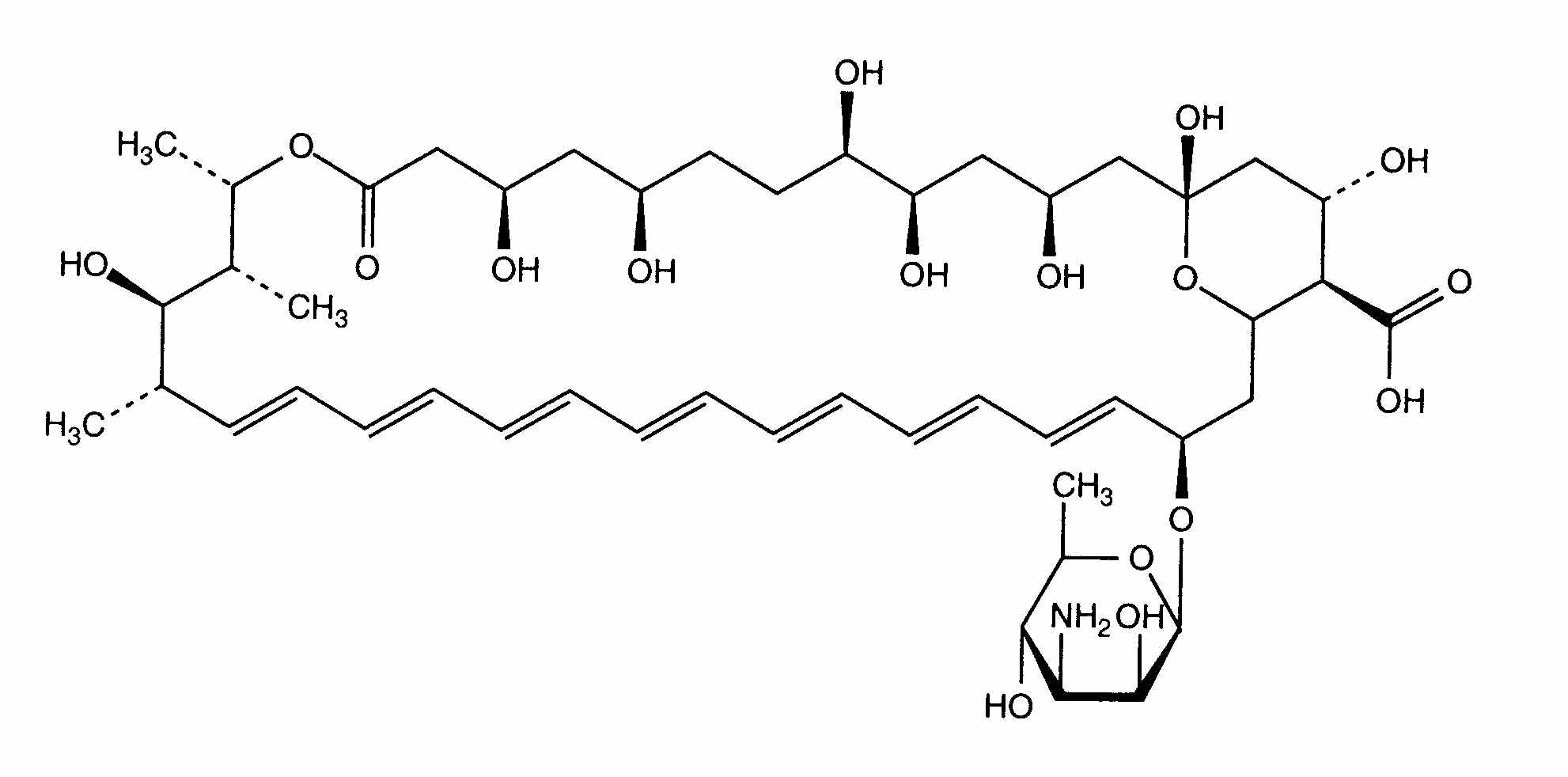
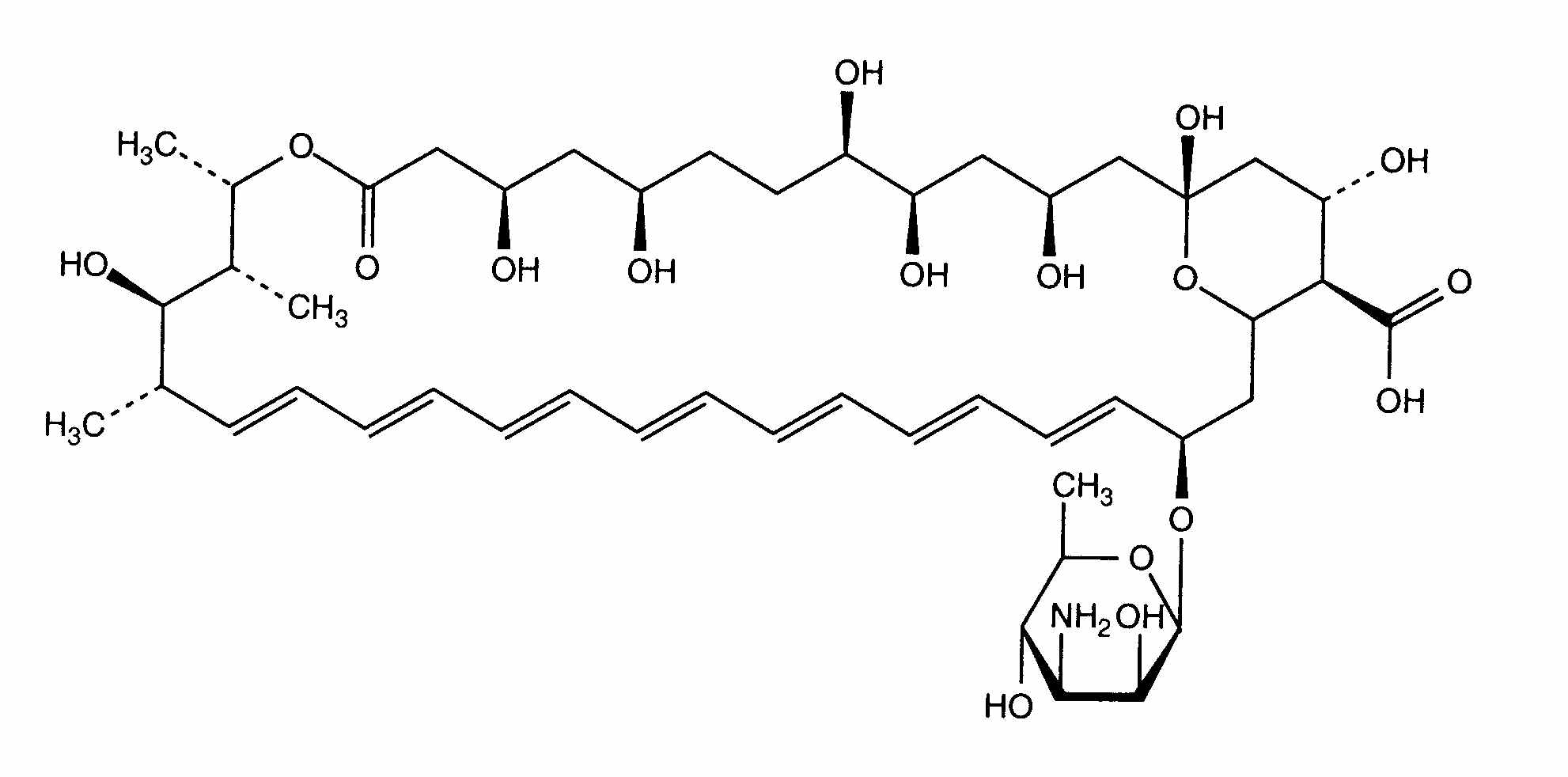
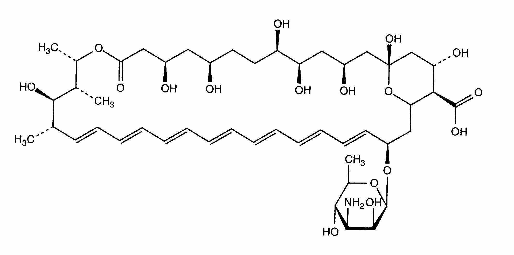
   Kémiai szerkezet   

Kereskedelmi név   Kereskedelmi név     

A kereskedelmi név meghatározó jelentőségű: a készítmények összetétele országonként, előállítóként eltérő lehet

Fungizone Amerikai Egyesült Államok, Colombia, Dánia, Finnország, Franciaország, Görögország, Hollandia, India, Irán, Írország, Kanada, Magyarország, Malaysia, Marokkó, Nagy-Britannia, Németország, Olaszország, Portugália, Svájc, Svédország, Törökország, Tunézia, új-Zéland, Venezuela
A keverékek stabilitása   Injekció   A keverékek stabilitása : Amphotericin B     
Hiányzó adat

  Mentions Légales