Son güncelleme :
18/03/2026
Antifungal   Amphotericin B  
Enjeksiyon
Aerosol Gargara Göz damlası Oral solüsyon / oral çözelti
Çözeltilerin stabilitesi Karışımlardaki stabilitesi Stabiliteyi etkileyen faktörler Uyumluluk Uygulama yöntemi Kaynaklar pdf
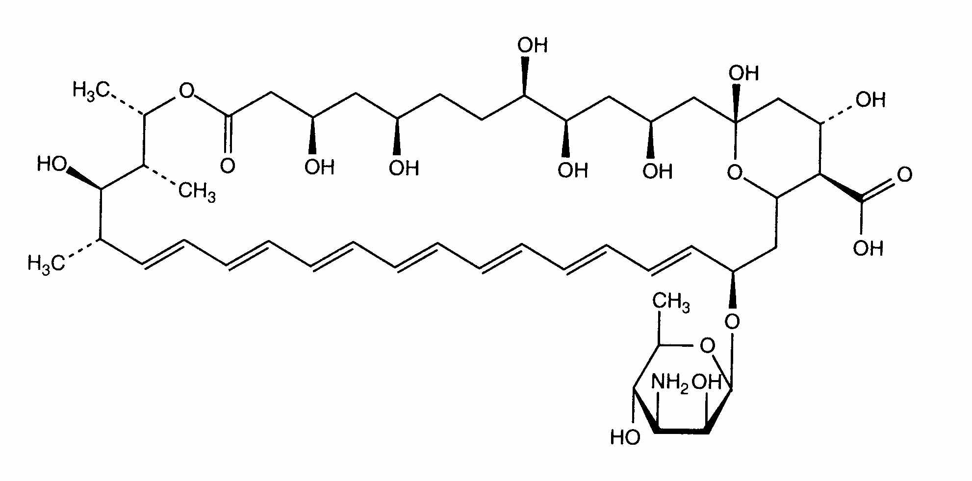
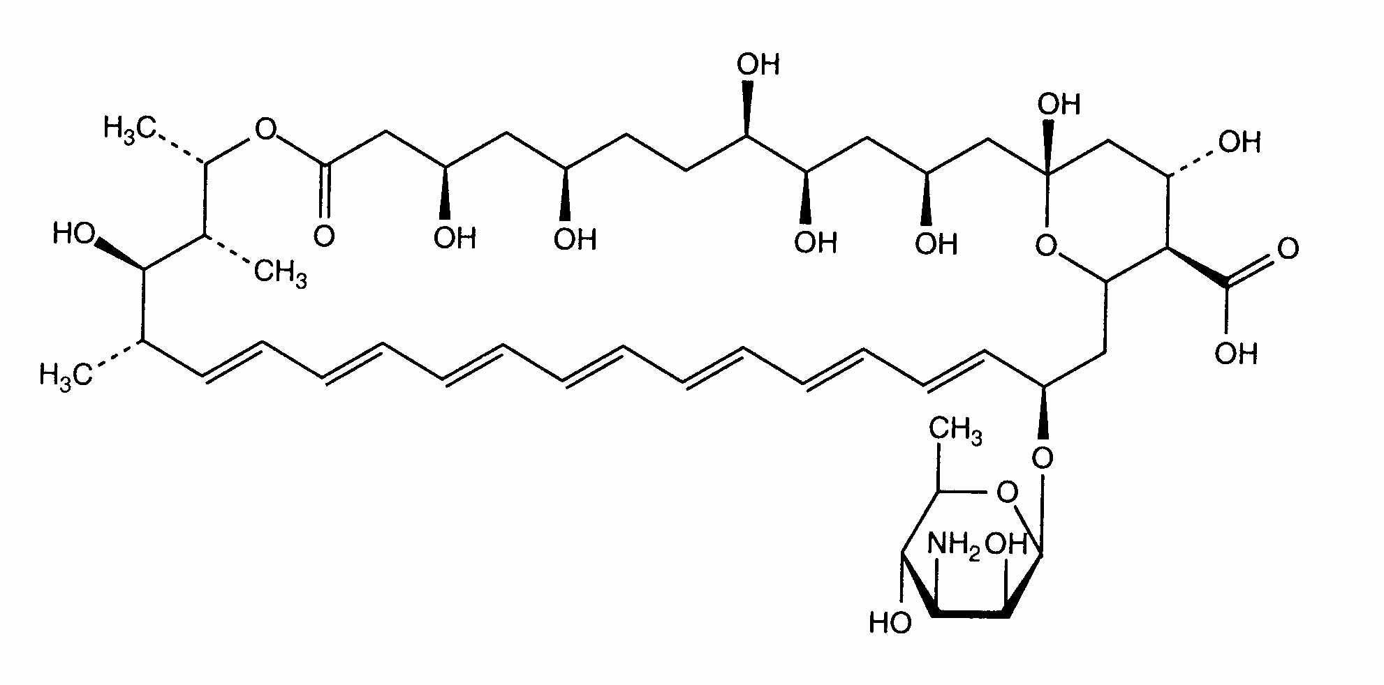
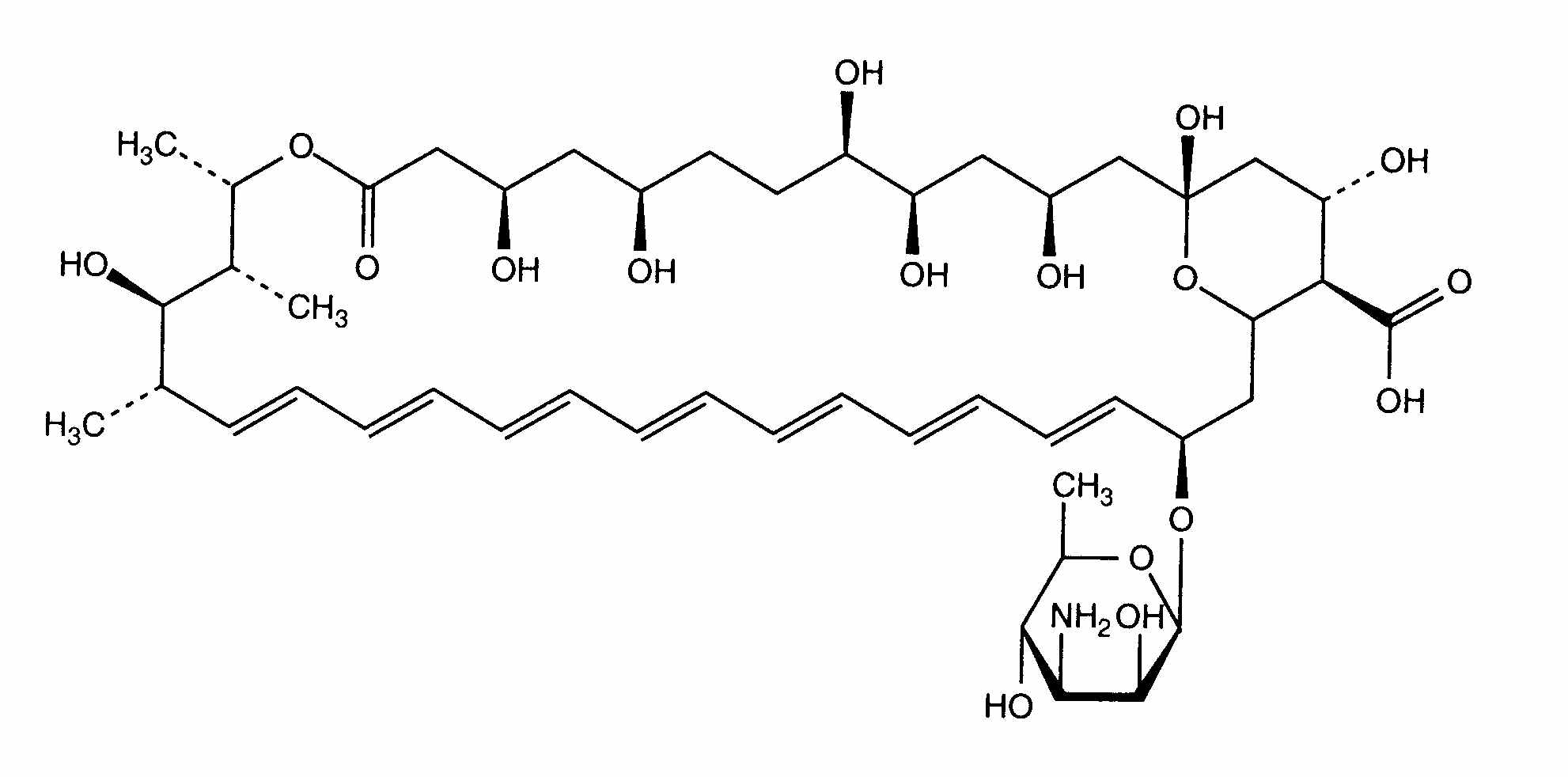
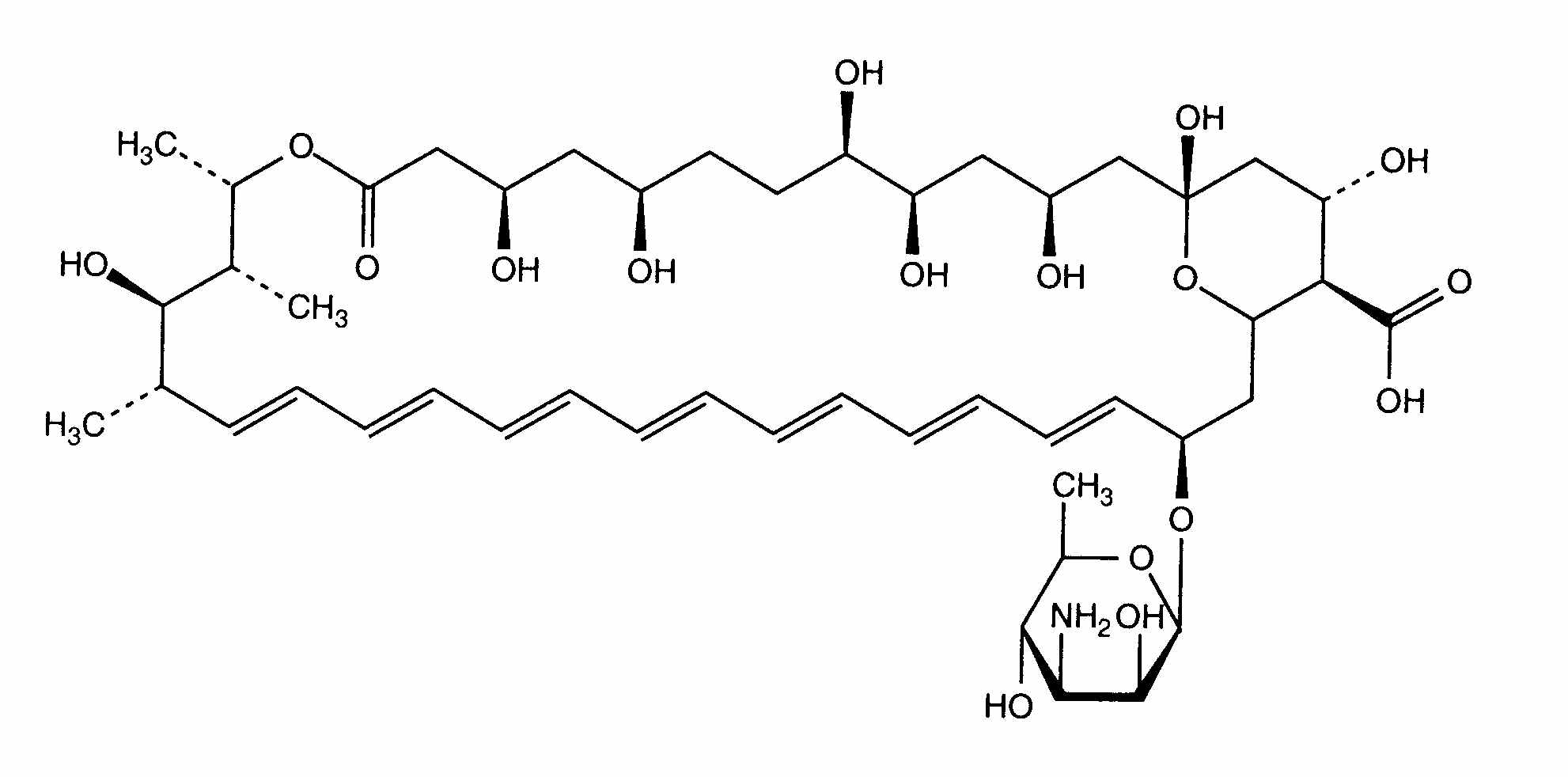
   Kimyasal yapı   

Ticari isim   Ticari isim     

Trade names are indicative and excipients composition can be different depending on the country and manufacturers

Fungizone Almanya, Amerika Birleşik Devletleri, Büyük Britanya, Danimarka, Fas, Finlandiya, Fransa, Hindistan, Hollanda, İran, İrlanda, İsveç, İsviçre, İtalya, Kanada, Kolombiya, Macaristan, Malezya, Portekiz, Tunus, Türkiye, Venezuela, yeni Zelanda, Yunanistan
Karışımlardaki stabilitesi   Enjeksiyon    Karışımlardaki stabilitesi : Amphotericin B     
veri yok

  Mentions Légales